3 svar
124 visningar
Stephan70707 behöver inte mer hjälp
Stephan70707 360
Postad: 19 jun 2022 15:05 Redigerad: 19 jun 2022 15:07

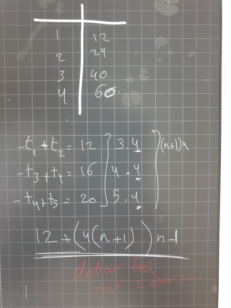
Hur kan jag göra b)

Jag har försökt att göra det men det fel och facit säger att svär är 2n^2+6n+4

Smaragdalena 78892 – Avstängd
Postad: 19 jun 2022 15:13

Vad kom du fram till på a-uppgiften? Stämmer ditt uttryck med facit?

Stephan70707 360
Postad: 19 jun 2022 15:15

Hej

Jag göra den första delen rätt

Stephan70707 360
Postad: 19 jun 2022 15:18 Redigerad: 19 jun 2022 15:26

?????

Svara
Close