9
svar
115
visningar
Då förstår jag det.
Tack för det här.
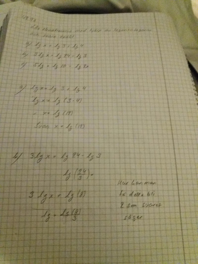
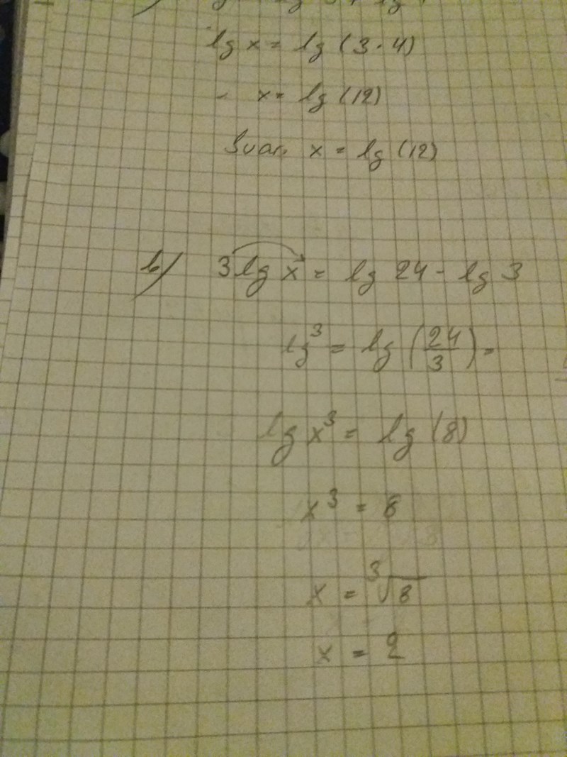
Här saknas det något Päivi. Vad saknas?

Det saknas x^3
Här saknas det något Päivi. Vad saknas?

Det saknas x
Ja. Som du skrev på raden under.
Det har jag rättat till nu.

