hur kan man gå över från 1<x+1<3
i min matte bok finns uttrycket |x-1|<1 som dom gör om till 0<x<2 sedan förskjuter dom 1 i sedled 1<x+1<3 men sedan förstår jag inte hur dom kan övergå till |x+1|>1 för jag tycker det sistnämna uttrycket förklara alla x utom 0 vilket inte är samma utryck som 1<x+1<3
solaris skrev:i min matte bok finns uttrycket |x-1|<1 som dom gör om till 0<x<2 sedan förskjuter dom 1 i sedled 1<x+1<3 men sedan förstår jag inte hur dom kan övergå till |x+1|>1 för jag tycker det sistnämna uttrycket förklara alla x utom 0 vilket inte är samma utryck som 1<x+1<3
Kan du ladda upp en bild av hur det står i din mattebok? Jag förstår inte riktigt vad du menar med att de "övergår" till |x + 1| > 1.
|x - 1| < 1 är samma sak som 0 < x < 2, men
|x + 1| > 1 är inte samma sak som 1 < x + 1 < 3
Kan du vara snäll och skriva av uppgiften ord för ord (eller lägga in en bild), för jag lyckas inte tyda vad det är du vill ha hjälp med.
Om jag ritar upp funktionerna och ser jag att f(x)<g(x) i intervallet 0<x<2.
.jpg?width=800&upscale=false)
.jpg?width=800&upscale=false)
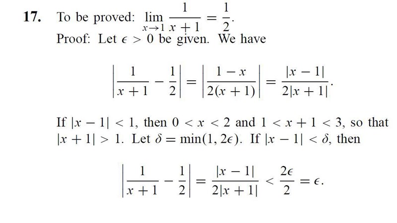
är på uppgift 17
solaris skrev:
är på uppgift 17
Det står att eftersom 1 < x + 1 < 3 så gäller det att |x + 1| > 1, vilket stämmer.
Men det står inte att det omvända gäller, dvs det står inte att olikheterna är identiska.
Om |x-1|<1, så måste x ligga i intervallet 0<x<2. Om man adderar 1 till alla tre leden, få man att 1<x+1<3. Alltså måste |x+1|>1 för dessa värden på x.
okej men hur skall jag komma fram till att |x+1|>1. desutom så begränsar ju inte |x+1|>1 så att x kan vara större än 3 vilket 1<x+1<3 gör
solaris skrev:okej men hur skall jag komma fram till att |x+1|>1. desutom så begränsar ju inte |x+1|>1 så att x kan vara större än 3 vilket 1<x+1<3 gör
Det gäller att 1 < x + 1 < 3.
Då gäller det att 1 < |x + 1| < 3.
Alltså gäller det att |x + 1| > 1
-----------
Jämför följande.
Johan är äldre än 10 år men yngre än 30 år. Alltså gäller det att Johan är äldre än 10 år.
Med matematiska uttryck: Om 10 < y < 30 så gäller det att y > 10.