Hur kan man gå tillväga?
Hej!
Sitter nu och pluggar inför en omtenta i teknisk kemi. Jag har fastnat vid en fråga men inte vet hur jag ska fortsätta lösa den. Frågan är följande:
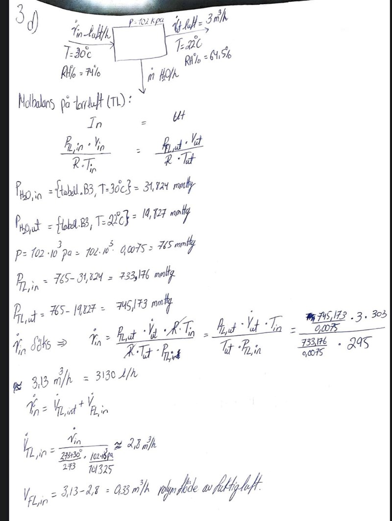
Det är högsommar i Sverige, med mycket sol och värme. Temperaturen ute är 30 °C, trycket
102 kPa och den relativa fuktigheten 74 %. För att kunna sova gott senare startar du
luftkonditioneringen i din bostad. Denna tar luft utifrån som kyls ned till 15 °C, varvid vatten
kondenserar och leds bort. Därefter värms luften upp igen till 22 °C. Utflödet av kall luft (vid
22 °C) från luftkonditioneringsaggregatet till bostaden är 3000 L/h.
c) Beräkna den relativa fuktigheten i den utgående gasen. (2p)
d) Beräkna volymflödet av den fuktiga luften som tas utifrån. (2p)
deluppgiften c har jag gjort behöver dock hjälp med d.
Så har jag gjort jag tror materialbalansen på torr luft är rätt. Men jag vet inte riktigt hur man kan beräkna mängden fuktigt luft.