Hur lång tid tar ett varv ur protonernas perspektiv?



Hej jag heter Alexander och jag sitter i mitt rum och försöker lösa följande uppgift. Jag ser att någon energi är lika med 7*10^12*1.602*10^-19 J
Därefter ser jag att någon massa är lika med 1.67 * 10^-27.
När jag vet energi och massa, hittar jag en formel, som tyder på att jag kan räkna ut V.
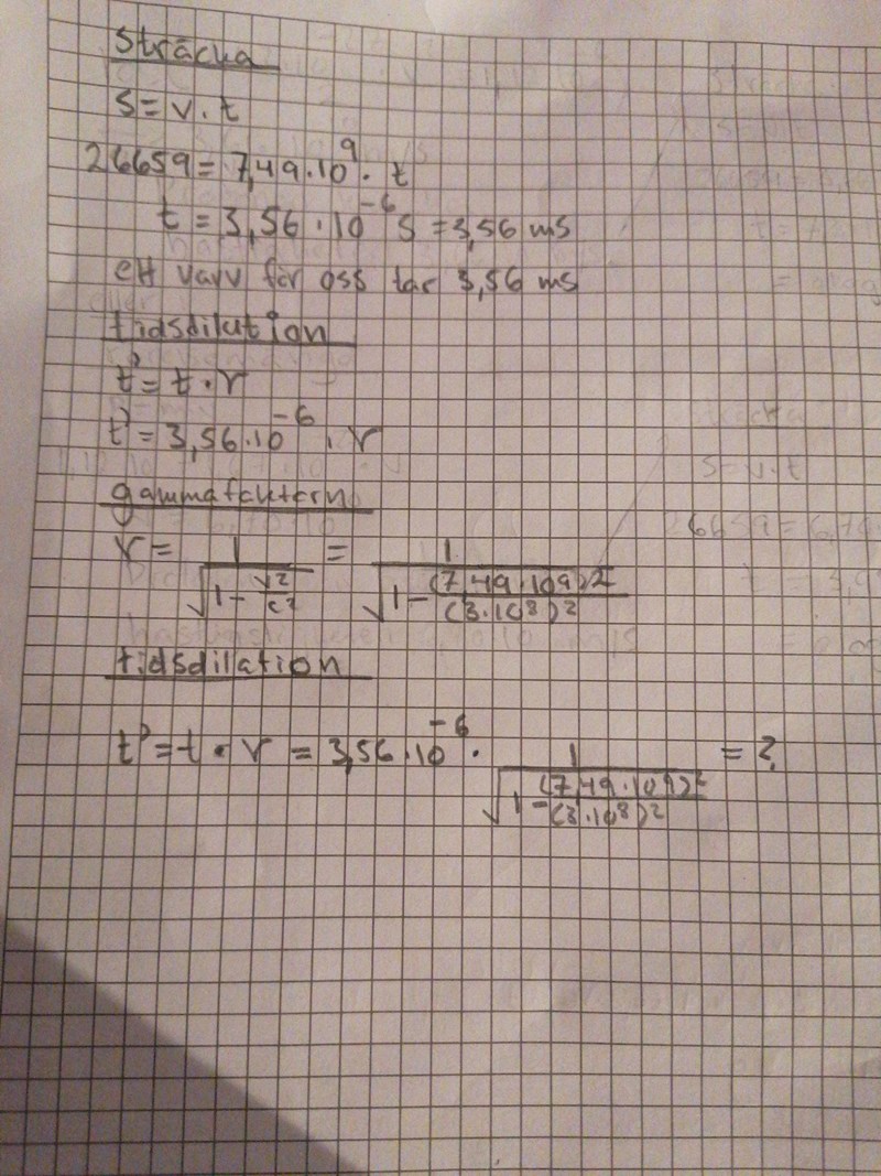
Jag tar v och räknar ut t ur formel s=v*t
=> ett varv för oss tar 3.56ms
Jag beräknar sedan gammafaktorn och räknar ut t' ur formeln t'=t*gamma
=>?
Ett problem är att jag inte får ett värde av geogebra, en grafritande verktyg.
Det är inte helt klart hur du räknade ut gammafaktorn. Lättast är det med kinetisk energi och protonens vilomassa uttryckt i elektronvolt.
Pieter Kuiper skrev:Det är inte helt klart hur du räknade ut gammafaktorn. Lättast är det med kinetisk energi och protonens vilomassa uttryckt i elektronvolt.
Hej Pieter Kuiper! Gammafaktorn är ju som det står. Jag räknade aldrig ut den, men den fanns alltid med i min formel, som jag använder för och lösa ut . Håller du med mig?
Eftersom du inte räknade ut ett värde är det svårt att hålla med om något.
Pieter Kuiper skrev:Eftersom du inte räknade ut ett värde är det svårt att hålla med om något.


Hej Peter. Tror du jag behöver räkna ut gamma först, därefter använda i tidsdilatation formel? Jag förstår inte varför jag gör fel hela tiden, även om jag tycker mitt resonemang är logiskt.
Ja, räkna ut gammafaktor först.
Som jag skrev: "Lättast är det med kinetisk energi och protonens vilomassa uttryckt i elektronvolt."
Pieter Kuiper skrev:Ja, räkna ut gammafaktor först.
Som jag skrev: "Lättast är det med kinetisk energi och protonens vilomassa uttryckt i elektronvolt."

Peter. Som du säkert märker får jag inget värde från gammafaktorn heller.
Därefter försöker jag på ditt sätt.
Se gärna hur jag angriper denna uppgift


??
Det du gör är obegripligt komplicerat. Och v = 7,49.109 m/s kan ju inte stämma.
Räkna ut gammafaktor först. Lättast är det med kinetisk energi och protonens vilomassa uttryckt i elektronvolt.
Visa spoiler
Gamma är ungefär 7000.