Hur långa och hur höga är skutten?
Hej! Jag har fastnat på denna uppgift och vet inte hur jag ska gå vidare?


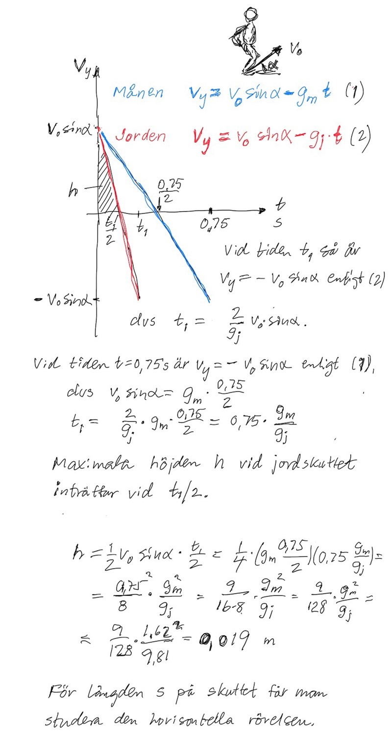
Om vi struntar i den horisontella hastigheten (din x-led) så ser vi att astronauten var i luften 0.75 s. Halva den tiden hoppade han upp, och efter (0.75/2) sekunder ramlade han neråt igen.
Vilken höjd hann han upp till på (0.75/2) sekunder? Vilken lägesenergi hade han där? Det är den rörelseenergi han hade från början, och på jorden räcker den energin till att...
Jag fick också höjden till 0,019 m på följande sätt:
Men svaret ska vara 1,8 cm högt och 0,24 m långt. Vart gör jag fel? Och hur får man fram hur långt det är, Dvs sträckan i x-led?
Jag testade lösa på ett annat sätt och fick att den blev återigen 0,019 m= 1,9 cm långt och inte 1,8 cm långt (som är svaret). Och fick även att den blev 1,51 m lång och inte 0,24 m (som är svaret).

När du beräknar längden på skuttet har du använt 0,75 s, vilket gällde på månen, men inte på jorden. Därför får du samma avstånd som har uppgivits i ursprungstexten.
Hur får man fram tiden på jorden?
t1 är tiden för ett tänkt skutt på jorden och framgår av inläggen #3 och #6. Den har beräknats till
0,75*(gm/gj).

