7
svar
125
visningar
Hur långt är riktigt?

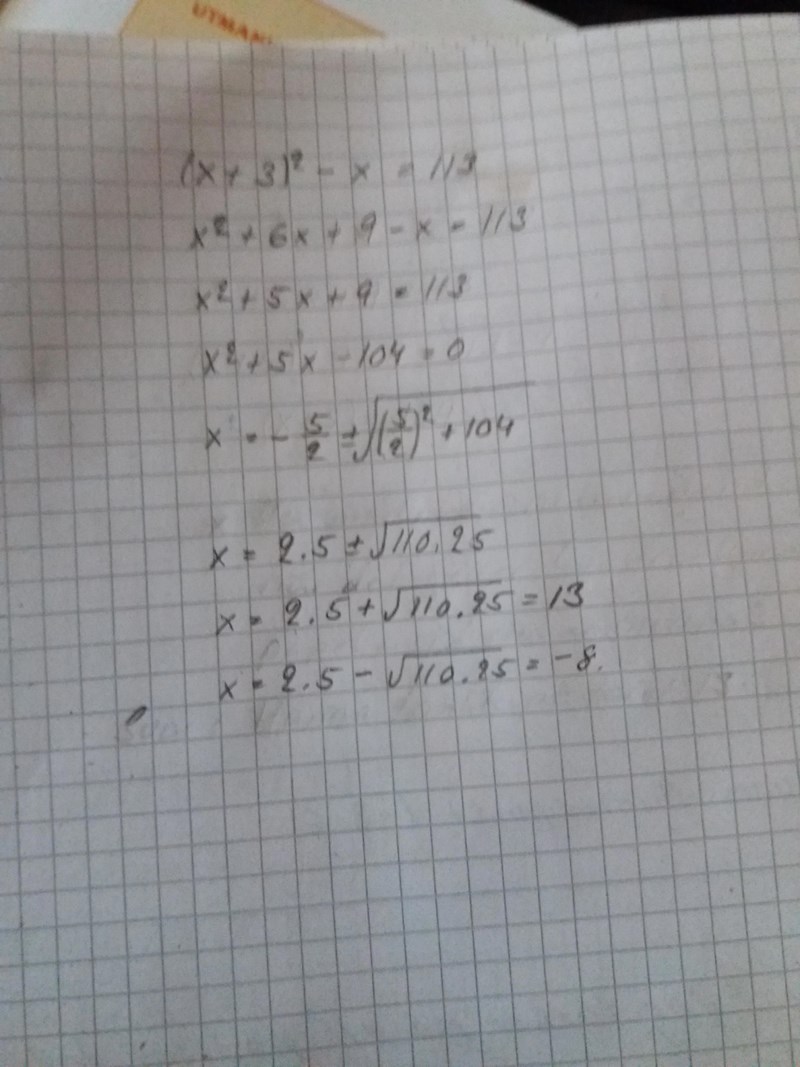
minustecknet framför 2,5 försvann på rad 6.
Error
Jag kommer inte ihåg frågan. Om det som söks är ett positivt tal är 8 rätt svar.
Om det bara är ett tal som söks är även -13 rätt.
Då är ditt svar helt korrekt.
Jag hade räknat ut båda möjliga värden på x och sedan förklarat varför jag förkastat det negativa (även om det är självklart i denna fråga.)
Det brukar man göra, men jag tänkte på frågan här.


