Hur långt stötes kulan?
Hej!
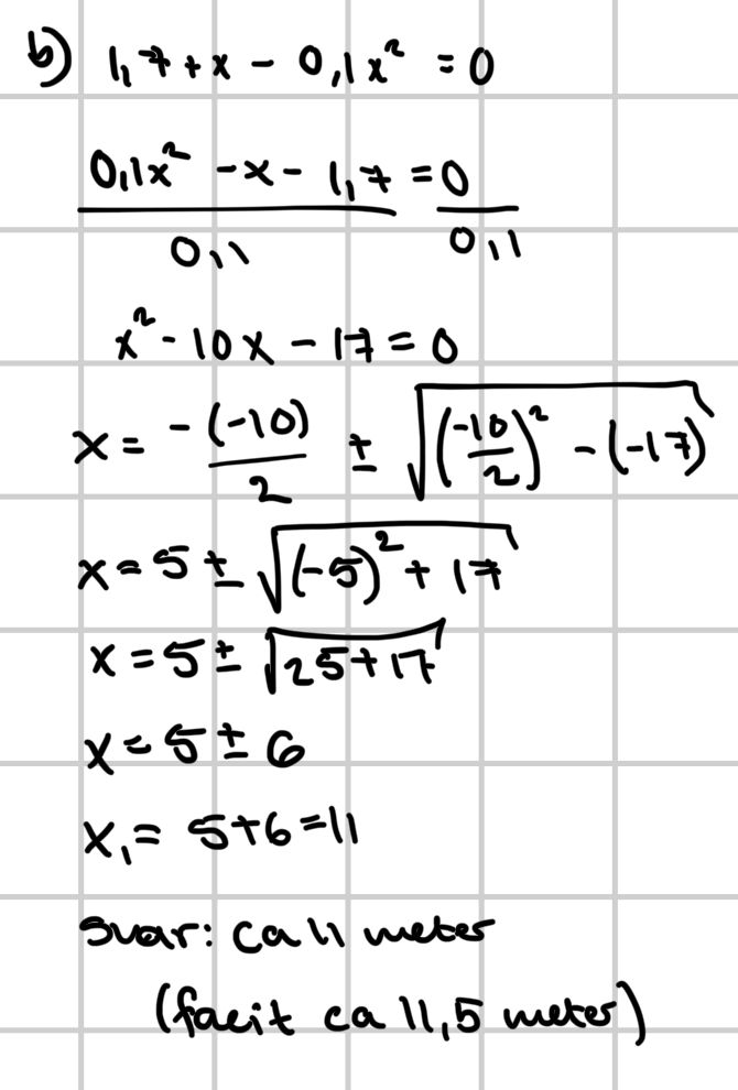
Jag löse följande uppgift:

Själva lösningen var inte så svår, men jag kommer fram till ca 11 meter, medan det i facit står 11,5 meter. Min första tanke var att jag avrundat för grovt i uträkningen när jag tog roten ur 37, men det var inte alls så, även om man tar hela talet på miniräknare och adderar 5 får man fortfarande ett tal som 11 eller 11,1 om man är generös. Har ingen aning om vad som blev fel, gjorde ett liknande fel i en tidigare uppgift, men struntade i det och tänkte att det bara blivit något fel i avrundningen eller så. Men eftersom att det är andra gången det sker så tänker jag att det är bättre att faktiskt förstå vad jag gör för fel. Ett sådant misstag kan ju bli kostsamt på prov. Åter till min fråga, här kommer min lösning, hade varit väldigt tacksam om någon kunde kolla över den och se om det går att hitta var jag gjort fel.

Tack på förhand!
Hej.
Din uppställning är helt rätt, men 25+17 är inte lika med 37
hoppsan, det är ju 42, jag kan säga att jag inte tänkte där, jag var stensäker på att 25+17, utan att tänka. Tack för hjälpen :)