8
svar
171
visningar
moonlighttt behöver inte mer hjälp
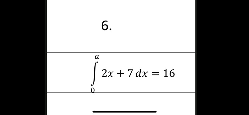
Hur löser jag denna uppgift när det är 7dx?

Kan du fota uppgiften? Tror att du ska ha en parentes runt (2x+7), men svaret verkar inte bli så snyggt ändå.
Tips:
Uppgiften är det som står i svart sen är lösningen det som står i blått
moonlighttt skrev:
Uppgiften är det som står i svart sen är lösningen det som står i blått
Det saknas parenteser runt integranden.
Det ska som sagt stå (2x+7)dx.
Och lösningen i blått är alltså fel.
Gör man så här då?
Hur får jag reda på a nu?
Nu är det en vanlig andragradsekvation i variabeln .
