Geometri åk 9, väldigt stressad akut hjälp!
Förstår ingenting!Kom gärna med förklaring! Google säger att jag ska multiplicera med 6, varför?Facit säger att x=6,men kommer inte fram till det!
Vad vill du själv multiplicera med?
Geometri är det för övrigt inte.
Jo! Förstår varför du säger att det inte är geometri, men uppgiften är i träna geometri kapitlet i mattebokenZ, serien XYZ. Jag vet inte hur jag ska lösa hela uppgiften, vet inte vad jag ska göra. Hade kanske multiplicerat 6 med 2 och 3 med 4 för att få dem till 12, men har ingen aning om det är så man ska göra!
Laguna skrev:Vad vill du själv multiplicera med?
Geometri är det för övrigt inte.
⬆️
Okej! Jag löste den! Förstog inte att det var korsmultiplikation!
Vet inte vad du korsmultiplicerat här.
Det enklaste är att multiplicera båda leden med minsta gemensamma nämnaren 6.
Efter en första förenkling får du 3x + 2 - 2(x + 4) = 0, dvs en ekvation utan några nämnare.
Man kan korsmultiplicera efter man "flyttat" andra termen till HL, kanske det som avsågs i #5.
Ah, då fattar jag. Att multiplicera båda leden med MGN är dock aningen enklare.
Louis skrev:Ah, då fattar jag. Att multiplicera båda leden med MGN är dock aningen enklare.
Och rekommenderad metod som är att föredra, t.ex. om det varit 3+ termer...

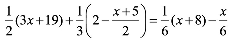
Om du vill träna mer, här kan du också multiplicera med 6 överallt.
Ioannis_T skrev:
Om du vill träna mer, här kan du också multiplicera med 6 överallt.
Tack!!