Hur löser jag lg (2x) = -lg (x)?
Hur löser jag lg (2x) = -lg (x)?
Ska jag börja med att att sätta
lg (2x) + lg (x) = 0 ?
Skriv -lg(x) som (-1)*lg(x) och använd logaritmlagen b*lg(a) = lg(a^b).
Då har jag
Hur kommer jag vidare?
Stämmer det?
Finns något att tillägga, eller alternativa sätt att lösa uppgiften?
Här utgick jag från att lg x = lg y x = y.
är väl inte definierat för argumentet 0? lg 0 finns väl inte?
(lg 1 = 0)
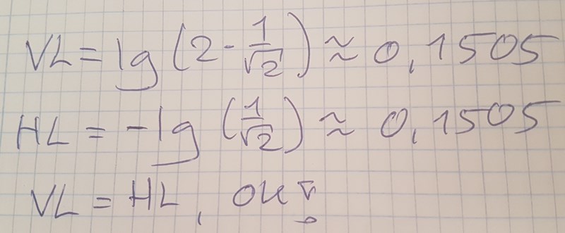
OK, pröva om det stämmer.
Dels algebraiskt, dels grafiskt.
Grafiskt verkar det stämma med x-värdet vid skärningen av de båda kurvorna.
Hur menar du att jag ska kontrollera lösningen algebraiskt?
Algebraiskt: Beräkna lg(2x) och -lg(x) för ditt värde på x. Jämför dem.
Det här är precis samma sak som att "alltid kontrollera om lösningen/arna stämmer med ekvationen"
Ja, så klart!
Var det något sådant du menade?
Nej, jag menar så här.

Ok! Tack, då förstår jag.