14 svar
350 visningar
Thessa_loniki behöver inte mer hjälp
Thessa_loniki 61 – Fd. Medlem
Postad: 10 apr 2017 12:18

Hur löser jag ut "h" ur följande ekvationer?

Hur löser jag ut "h" ur följande ekvationer 123=12h och 73=7h  där inte är lika med 3?

Mina försök ser ut enligt följande:

123 = 12*11*106= 220 och 220 = 12h och 220 =12!h vilket skulle leda till att: 220= 12!

På ungefär samma sätt resonerade jag kring 73=7h där jag kom fram till att 73 = 35, vilket skulle bli följande: 35= 7!

Då detta är relativt nytt för mig, så förklara gärna så utförligt som möjligt hur jag ska resonera mig fram till svaret.

Henrik Eriksson 1386 – Fd. Medlem
Postad: 10 apr 2017 12:30

Det bygger på Pascals triangel. Titta på den, så ser du att den är symmetrisk, så att 12 över 1 är lika med 12 över 11, 12 över 2 är lika med 12 över 10 osv.

HT-Borås 1287
Postad: 10 apr 2017 12:31

Eftersom får du direkt att vilket gör det ganska enkelt.

Stakethinder 84
Postad: 10 apr 2017 13:55

Att det är så är inte heller särskilt konstigt. Om vi t ex har problembeskrivningen att vi ska välja ut 3 personer av 12, så är det ekvivalent med att välja bort de andra 9.

Att välja ut 3 av 12: 123

Att välja bort 9 av 12: 129=1212-3

Thessa_loniki 61 – Fd. Medlem
Postad: 10 apr 2017 16:41
HT-Borås skrev :

Eftersom får du direkt att vilket gör det ganska enkelt.


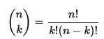
Du skrev följande: "nk = n!k!(n-k)!". Kan du i så fall visa vad k! i nämnaren, innan parentesen, har för betydelse  för talet i sin helhet. Som jag tidigare skrev att detta är "nytt för mig och att jag ville ha hjälp med hur jag ska resonera mig fram till svaret." Jag vill gärna förstå bakgrunden till själva formeln. Om n! = 12, vad innebär då

k!(n-k)! i nämnaren om värdena k! = 3? Om det är något som du har förstått intuitivt, vilket jag har problem med, så förklara gärna lite mer utförligt hur jag ska tänka.

Thessa_loniki 61 – Fd. Medlem
Postad: 10 apr 2017 16:43
Stakethinder skrev :

Att det är så är inte heller särskilt konstigt. Om vi t ex har problembeskrivningen att vi ska välja ut 3 personer av 12, så är det ekvivalent med att välja bort de andra 9.

Att välja ut 3 av 12: 123

Att välja bort 9 av 12: 129=1212-3

Hej Stakethinder!

Tack för ditt logiska resonemang och pedagogiken. Det är det underförstådda som jag har problem med, själva tolkningen av talet så att säga. 

Thessa_loniki 61 – Fd. Medlem
Postad: 10 apr 2017 16:58
Henrik Eriksson skrev :

Det bygger på Pascals triangel. Titta på den, så ser du att den är symmetrisk, så att 12 över 1 är lika med 12 över 11, 12 över 2 är lika med 12 över 10 osv.

Jag tittade på Pascals triangel och förstår lite grann vad du menar när det gäller logiken. Men i nuläget kan jag inte tillämpa detta "i praktiken" då jag tidigare inte har arbetat med Pascals triangel. Kan du förklara med ett exempel? Då borde  12!3!= 9 och 12 över 3 vara lika med 12!9!?

Stakethinder 84
Postad: 10 apr 2017 17:03 Redigerad: 10 apr 2017 17:06
Thessa_loniki skrev :
HT-Borås skrev :

Eftersom får du direkt att vilket gör det ganska enkelt.


Du skrev följande: "nk = n!k!(n-k)!". Kan du i så fall visa vad k! i nämnaren, innan parentesen, har för betydelse  för talet i sin helhet. Som jag tidigare skrev att detta är "nytt för mig och att jag ville ha hjälp med hur jag ska resonera mig fram till svaret." Jag vill gärna förstå bakgrunden till själva formeln. Om n! = 12, vad innebär då

k!(n-k)! i nämnaren om värdena k! = 3? Om det är något som du har förstått intuitivt, vilket jag har problem med, så förklara gärna lite mer utförligt hur jag ska tänka.

Ska se om jag kan reda ut vad själva formeln kommer ifrån.

Vi ska välja ut k st ur en population av n ("välj k personer av totalt n"). Vi tar det rådande exemplet om 3 st av 12. Att välja den första kan man göra på 12 olika sätt. När det är gjort finns det bara 11 kvar att välja bland, och således kan det valet göras på 11 olika sätt. Vi har nu 12*11 kombinationer. Vi väljer den tredje. Det går att göra på 10 olika sätt.

Detta resulterar i 12*11*10. Vi har dock inte tagit hänsyn till att vi får olika kombinationer som resulterar i samma resultat! Om vi t ex väljer Anna, Bengt och Cecilia i den ordningen, så får vi ju samma 3 personer som om vi hade valt i ordningen Bengt, Cecilia och sist Anna.

Man kan välja 3 personer på 3! olika sätt, och således har vi en faktor 3! av varje likvärdig kombination. Vi kompenserar för likvärdiga kombinationer genom att dela med antalet "dubbletter", och antalet unika grupper om 3 personer är således

12*11*103!

Och det är svaret på hur många sätt man kan välja 3 av 12 utan återläggning, och utan inbördes ordning. Men detta behöver skrivas om till en mer allmän formel. Här nyttjar vi en liten fiffig detalj vad gäller fakultet:

12!9!=12*11*10*9*...*19*...*1=/Förkortar/=12*11*10

Vi kan alltså skriva om enligt förljande:

12*10*93!=12!9!*3!

Där 12 = n, 3 = k och 9=12-3=n-k. Och vi har då n!k!*n-k!

Stakethinder 84
Postad: 10 apr 2017 17:21 Redigerad: 10 apr 2017 17:29

En sista kommentar:

När det gäller kombinatorik är det viktigt att ha koll på

- Om det är återläggning mellan momenten (t ex singla slant) eller inte (kan inte välja ut samma person flera gånger)

- Om ordningen är viktig.

 

Exempel 1:
Vi ska välja en styrelse till en förening. Styrelsen består av 3 personer, vilket är precis så många kandidater som finns att tillgå. I detta skede är det enbart individer och inte poster som gäller. Vi kan därför välja styrelse på exakt ett sätt: Att välja alla 3.
Matematiskt: Vad blir 33? Stämmer resonemanget med svaret?

Exempel 2:
Samma styrelse, men nu ska man internt välja ordförande, sekreterare och kassör. En individ kan bara inneha en roll? På hur många sätt kan man göra det?

Låt oss kalla personerna för Anna, Bengt och Cecilia. Om Anna är ordförande så finns det två möjligheter för de andra två att ta roller. Det är sant även om Bengt eller Cecilia skulle vara ordförande. Vi kan välja ordförande på 3 sätt och för var och en av dessa kan övriga roller väljas på 2 olika sätt. Vi har 3*2=6 olika sätt att bilda Styrelse där roll (vilket vi väljer i ordning) spelar roll.

Detta kallas för Permutationer. Om jag minns rätt så kallas det som exempel 1 illustrerar för Kombinationer, men jag hittar ingen referrens på det just nu.

 

Övning:

Räkna om Exemplen ovan, men ha totalt 4 personer istället. Dvs Välj först en styrelse om 3 bland 4 personer. Och sedan är det totalt 4 personer i den nya styrelsen (en satt väl kvar sedan tidigare :)), på hur många sätt kan man fördela de tre posterna bland 4 personer?

Resonera gärna först kring vad det borde bli, dvs räkna som om det var en vanlig kluring. Räkna sedan med de formler som finns att tillgå.

Thessa_loniki 61 – Fd. Medlem
Postad: 13 apr 2017 14:26 Redigerad: 13 apr 2017 14:29
Stakethinder skrev :

En sista kommentar:

När det gäller kombinatorik är det viktigt att ha koll på

- Om det är återläggning mellan momenten (t ex singla slant) eller inte (kan inte välja ut samma person flera gånger)

- Om ordningen är viktig.

 

Exempel 1:
Vi ska välja en styrelse till en förening. Styrelsen består av 3 personer, vilket är precis så många kandidater som finns att tillgå. I detta skede är det enbart individer och inte poster som gäller. Vi kan därför välja styrelse på exakt ett sätt: Att välja alla 3.
Matematiskt: Vad blir 33? Stämmer resonemanget med svaret?

Exempel 2:
Samma styrelse, men nu ska man internt välja ordförande, sekreterare och kassör. En individ kan bara inneha en roll? På hur många sätt kan man göra det?

Låt oss kalla personerna för Anna, Bengt och Cecilia. Om Anna är ordförande så finns det två möjligheter för de andra två att ta roller. Det är sant även om Bengt eller Cecilia skulle vara ordförande. Vi kan välja ordförande på 3 sätt och för var och en av dessa kan övriga roller väljas på 2 olika sätt. Vi har 3*2=6 olika sätt att bilda Styrelse där roll (vilket vi väljer i ordning) spelar roll.

Detta kallas för Permutationer. Om jag minns rätt så kallas det som exempel 1 illustrerar för Kombinationer, men jag hittar ingen referrens på det just nu.

 

Övning:

Räkna om Exemplen ovan, men ha totalt 4 personer istället. Dvs Välj först en styrelse om 3 bland 4 personer. Och sedan är det totalt 4 personer i den nya styrelsen (en satt väl kvar sedan tidigare :)), på hur många sätt kan man fördela de tre posterna bland 4 personer?

Resonera gärna först kring vad det borde bli, dvs räkna som om det var en vanlig kluring. Räkna sedan med de formler som finns att tillgå.

Tack för svaret och övningarna!

Det första exemplet där du skrev "Dvs Välj en styrelse om 3 bland 4 personer" var jag inte riktigt med på, men börjar förstå hur man ska resonera. Det andra tror jag kan se ut så här på ett ungefär:43 = 4*3*2*13*2*1 = 4!3!= 4.

Men det är fortfarande tolkningen som det är problem med när det kommer till uppgifter som de du hittade på ovan, då jag har problem med generaliseringar i allmänhet, samt att jag har svårt för att se skillnad mellan kombinationer och permutationer då det gäller de övningar som jag arbetar med.

Stakethinder 84
Postad: 18 apr 2017 16:19

Facit Övningarna

a) Fråga: Välj ut 3 personer av 4.

Svar: 43=4!3!*4-3!=4

Notera att det är detsamma som att välja ut en som inte kommer med i styrelsen. Att välja ut en bland 4 kan göras på ... 4 olika sätt. :)

 

b) Om 4 personer har valts till en styrelse, på hur många sätt kan man tillsätta Ordförande, kassör och sekreterare om samma individ ej får inneha samma post?

Svar:
Om vi tar och tillsätter en post i taget blir det tydligast. Först tillsätter vi en ordförande. Det finns 4 personer att välja bland, så det kan göras på 4 olika sätt.
Därefter ska kassör tillsättas. Nu finns det bara 3 personer kvar att välja bland, då en individ redan fått post som ordförande. Kassör kan väljas på 3 olika sätt.
Sist men inte minst, sekreteraren. Det finns två personer kvar. Sekreterare kan väljas på 2 olika sätt.

Att tillsätta alla poster kan alltså göras på 4*3*2 = 24 olika sätt.

Thessa_loniki 61 – Fd. Medlem
Postad: 18 apr 2017 20:38
Stakethinder skrev :

Facit Övningarna

a) Fråga: Välj ut 3 personer av 4.

Svar: 43=4!3!*4-3!=4

Notera att det är detsamma som att välja ut en som inte kommer med i styrelsen. Att välja ut en bland 4 kan göras på ... 4 olika sätt. :)

 

b) Om 4 personer har valts till en styrelse, på hur många sätt kan man tillsätta Ordförande, kassör och sekreterare om samma individ ej får inneha samma post?

Svar:
Om vi tar och tillsätter en post i taget blir det tydligast. Först tillsätter vi en ordförande. Det finns 4 personer att välja bland, så det kan göras på 4 olika sätt.
Därefter ska kassör tillsättas. Nu finns det bara 3 personer kvar att välja bland, då en individ redan fått post som ordförande. Kassör kan väljas på 3 olika sätt.
Sist men inte minst, sekreteraren. Det finns två personer kvar. Sekreterare kan väljas på 2 olika sätt.

Att tillsätta alla poster kan alltså göras på 4*3*2 = 24 olika sätt.

Tack för svaret! 

Jag missförstod tydligen dina "uppgifter" på grund av tolkningsproblematik, men jag förstår ditt resonemang. Det är bara för "många delar" för mig att hålla reda på ibland.

Stakethinder 84
Postad: 19 apr 2017 10:54

Ja, det finns ju några varianter. Som jag nämnde tidigare finns det två parametrar att titta efter:

- Återläggning (utan återläggning = kan bara användas en gång/förbrukas)
- Ordning

Detta ger oss 4 kombinationer:

A. Med återläggning, ordning spelar roll.
Exempel - "Hur många femsiffriga telefonnummer finns det?"
Lösning - Vi har 10 st siffror som inte förbrukas, dvs kan användas hur många gånger som helst ("återläggning").
Varje nummer kan väljas på 10 olika sätt, oberoende av varandra. Vi har 10*10*10*10*10 = 10^5 olika sådana kombinationer.

B. Utan återläggning, ordning spelar roll
Exempel - "På hur många sätt kan man tillsätta Ordförande, kassör och sekreterare i en styrelse om 5 personer om ingen får ha mer än en roll?"
Lösning: Det spelar roll vem som får vilken roll, därav "ordning spelar roll". Vi väljer först ordf, sedan kassör och sist sekreterare. (Observera att det inte spelar roll vilken roll vi tillsätter först. Det viktiga är att det spelar roll i vilken ordning individer väljs. Man kan se det som att man drar namnlappar ur en skål.)
Första posten kan väljas på 5 olika sätt. Den individ som väljs kan ej väljas för annan post ("ingen återläggning"). Andra posten kan väljas på 4 olika sätt då det är 4 personer kvar. Totalt kan vi välja 5*4*3 st olika styrelser.

 

C. Med återläggning, ordning spelar ingen roll.
Exempel - "Hur många kast av alla möjliga i Yatzy resulterar i kåk? Yatzy spelas med 5 tärningar. Kåk innebär en dubbel och en trippel."
Lösning - Detta påminner om telefonnummerproblemet, men här spelar det inte roll i vilken ordning man får en siffra. Man får arrangera om tärninganra efter kastet för att bilda kåk, par, stege osv.

Vid sådana här problem brukar jag ta det i tur och ordning. Först och främst behöver vi en triss. Den består av a) en valör (dvs om det är triss i treor, femmor eller ettor) och b) tre positioner av fem att placeras ut på.
Valör kan väljas på 6 olika sätt. Placering är att välja ut tre av fem positioner; tänk att tärningarna är märkta A-F. Att lotta fram dessa positioner är ett fall av "utan återlämning, utan ordning", dvs ABC ger samma resultat som BCA. Detta kan göras på 5*4*33!=606  olika sätt (dvs detsamma som med ordning , och sedan dela med antal likvärdiga kombinationer).

Totalt kan vi alltså välja triss på 6 * 60/6 = 60 olika sätt.

Att välja par görs på liknande sätt. Valör kan väljas på 5 olika sätt - Det kan ju inte vara samma som trissen, för då har vi inte längre en kåk utan ett femtal (även kallat ... yatzy!). Att välja postioner för paret är trivialt. Det finns bara två positioner (tärningar) kvar och ordning spelar ingen roll. Finns bara ett sätt att göra det på och det är att välja de tärnignar som är kvar.

Antalet kast av alla möjliga som ger kåk är alltså 60*5 = 300.
Bonus: Antalet möjliga yatzykast totalt är 6^5=7776. Sannolikheten att slå kåk på ett kast är därför 300/7776= 3,86%.

 

D. Utan återläggning, ordning spelar ingen roll
Exempel - "Hur pokerhänder av alla möjliga är kåk, dvs en triss och ett par?"
Skillnaden mot yatzy är främst att två kort inte kan vara likadana, därav "utan återläggning".
Vi har samma approach som i yatzyfallet. Vi börjar med trissen. Att välja vilka kort som ska ingå i trissen är lite lurigare än vad det var för tärningar i yatzy. Till att börja med har vi 13 olika valörer att välja bland. För varje valör finns det ett kort i varje färg, och vi ska välja en av dessa. Det kan göras på 43 olika sätt, vilket som vi sett tidigare är detsamma som att välja bort en färg som inte får vara med. Det kan alltså göras på 4 olika sätt.

Triss kan väljas på 13*4=52 olika sätt.

I exempel C ovan så placerade vi redan nu ut dessa tre kort i "positioner". Det kan man göra här med, men vi kommer istället att relatera till antalet möjliga händer om placeringe inte tagits hänsyn till.

Nu ska vi välja ut paret. Dess valör kan väljas på 12 olika sätt; valör 13 är ju tagen av trissen. Färger kan väljas på 42=6 olika sätt. Vi kan alltså välja ut kort till en kåk på 52*12*6=3744 olika sätt.

Antalet möjliga händer är 525=2598960. Sannolikhet att dra en kåk är alltså 3744/2598960 = 0,001441.

Obs! En viktig skillnad i hur jag löst exempel C och D är om jag tagit hänsyn till position eller inte. I fallet med en kortlek så tar varken totalen eller deluträkningarna positionen i beaktande. Om man gör det kommer man få en faktor 5! fler möjliga händer, och samma faktor 5! fler trissar.

 

 

Extra:
Man kan kombinera varianterna. Om vi t ex kollar på exemplet i fall B så kan man även se problemet på ett annat sätt. De två styrelsemedlemmar som blir kvar kallas suppleanter. Man kan om man vill se detta som roller, och man har då 5 roller att tillsätta. Dessa två är utan inbördes ordning då deras poster är likvärdiga. För skoj skull kan vi se hur det blir om vi väljer samma styresle "baklänges".

Vi börjar med att välja två suppleanter. De är båda likvärdiga, så vi har här fallet "utan återläggning, utan ordning" för dessa två. De kan väljas på 52=5!2!*3!=10 olika sätt. Notera att detta är hälften så många sätt som om ordningen hade spelat roll (=5*4); Det spelar ju ingen roll vilken vi väljer först.
När vi valt de första två är vi tillbaks på "med ordning, utan återläggning" med tre roller kvar att fylla, och tre personer kvar att fylla dem med. Det kan göras på 3*2*1 = 6 olika sätt.
Totalt har vi alltså 10*6=60 olika sätt att rollbesätta en styrelse om 5 personer. Vilket är exakt samma svar som vi fick i fall B ovan. Och det är ju samma styrelse, så det ska bli samma svar oavsett angreppsvinkel på problemet.
Observera att om vi gör som i lösningen i B men även där ska tillsätta suppleanter när det är de enda rollerna kvar så kan det göras på 22=1 olika sätt. För att ta det i talspråk - Att välja ut två av två möjliga går att göra på ett sätt. Man väljer de två.

Thessa_loniki 61 – Fd. Medlem
Postad: 19 apr 2017 13:32
Stakethinder skrev :

Ja, det finns ju några varianter. Som jag nämnde tidigare finns det två parametrar att titta efter:

- Återläggning (utan återläggning = kan bara användas en gång/förbrukas)
- Ordning

Detta ger oss 4 kombinationer:

A. Med återläggning, ordning spelar roll.
Exempel - "Hur många femsiffriga telefonnummer finns det?"
Lösning - Vi har 10 st siffror som inte förbrukas, dvs kan användas hur många gånger som helst ("återläggning").
Varje nummer kan väljas på 10 olika sätt, oberoende av varandra. Vi har 10*10*10*10*10 = 10^5 olika sådana kombinationer.

B. Utan återläggning, ordning spelar roll
Exempel - "På hur många sätt kan man tillsätta Ordförande, kassör och sekreterare i en styrelse om 5 personer om ingen får ha mer än en roll?"
Lösning: Det spelar roll vem som får vilken roll, därav "ordning spelar roll". Vi väljer först ordf, sedan kassör och sist sekreterare. (Observera att det inte spelar roll vilken roll vi tillsätter först. Det viktiga är att det spelar roll i vilken ordning individer väljs. Man kan se det som att man drar namnlappar ur en skål.)
Första posten kan väljas på 5 olika sätt. Den individ som väljs kan ej väljas för annan post ("ingen återläggning"). Andra posten kan väljas på 4 olika sätt då det är 4 personer kvar. Totalt kan vi välja 5*4*3 st olika styrelser.

 

C. Med återläggning, ordning spelar ingen roll.
Exempel - "Hur många kast av alla möjliga i Yatzy resulterar i kåk? Yatzy spelas med 5 tärningar. Kåk innebär en dubbel och en trippel."
Lösning - Detta påminner om telefonnummerproblemet, men här spelar det inte roll i vilken ordning man får en siffra. Man får arrangera om tärninganra efter kastet för att bilda kåk, par, stege osv.

Vid sådana här problem brukar jag ta det i tur och ordning. Först och främst behöver vi en triss. Den består av a) en valör (dvs om det är triss i treor, femmor eller ettor) och b) tre positioner av fem att placeras ut på.
Valör kan väljas på 6 olika sätt. Placering är att välja ut tre av fem positioner; tänk att tärningarna är märkta A-F. Att lotta fram dessa positioner är ett fall av "utan återlämning, utan ordning", dvs ABC ger samma resultat som BCA. Detta kan göras på 5*4*33!=606  olika sätt (dvs detsamma som med ordning , och sedan dela med antal likvärdiga kombinationer).

Totalt kan vi alltså välja triss på 6 * 60/6 = 60 olika sätt.

Att välja par görs på liknande sätt. Valör kan väljas på 5 olika sätt - Det kan ju inte vara samma som trissen, för då har vi inte längre en kåk utan ett femtal (även kallat ... yatzy!). Att välja postioner för paret är trivialt. Det finns bara två positioner (tärningar) kvar och ordning spelar ingen roll. Finns bara ett sätt att göra det på och det är att välja de tärnignar som är kvar.

Antalet kast av alla möjliga som ger kåk är alltså 60*5 = 300.
Bonus: Antalet möjliga yatzykast totalt är 6^5=7776. Sannolikheten att slå kåk på ett kast är därför 300/7776= 3,86%.

 

D. Utan återläggning, ordning spelar ingen roll
Exempel - "Hur pokerhänder av alla möjliga är kåk, dvs en triss och ett par?"
Skillnaden mot yatzy är främst att två kort inte kan vara likadana, därav "utan återläggning".
Vi har samma approach som i yatzyfallet. Vi börjar med trissen. Att välja vilka kort som ska ingå i trissen är lite lurigare än vad det var för tärningar i yatzy. Till att börja med har vi 13 olika valörer att välja bland. För varje valör finns det ett kort i varje färg, och vi ska välja en av dessa. Det kan göras på 43 olika sätt, vilket som vi sett tidigare är detsamma som att välja bort en färg som inte får vara med. Det kan alltså göras på 4 olika sätt.

Triss kan väljas på 13*4=52 olika sätt.

I exempel C ovan så placerade vi redan nu ut dessa tre kort i "positioner". Det kan man göra här med, men vi kommer istället att relatera till antalet möjliga händer om placeringe inte tagits hänsyn till.

Nu ska vi välja ut paret. Dess valör kan väljas på 12 olika sätt; valör 13 är ju tagen av trissen. Färger kan väljas på 42=6 olika sätt. Vi kan alltså välja ut kort till en kåk på 52*12*6=3744 olika sätt.

Antalet möjliga händer är 525=2598960. Sannolikhet att dra en kåk är alltså 3744/2598960 = 0,001441.

Obs! En viktig skillnad i hur jag löst exempel C och D är om jag tagit hänsyn till position eller inte. I fallet med en kortlek så tar varken totalen eller deluträkningarna positionen i beaktande. Om man gör det kommer man få en faktor 5! fler möjliga händer, och samma faktor 5! fler trissar.

 

 

Extra:
Man kan kombinera varianterna. Om vi t ex kollar på exemplet i fall B så kan man även se problemet på ett annat sätt. De två styrelsemedlemmar som blir kvar kallas suppleanter. Man kan om man vill se detta som roller, och man har då 5 roller att tillsätta. Dessa två är utan inbördes ordning då deras poster är likvärdiga. För skoj skull kan vi se hur det blir om vi väljer samma styresle "baklänges".

Vi börjar med att välja två suppleanter. De är båda likvärdiga, så vi har här fallet "utan återläggning, utan ordning" för dessa två. De kan väljas på 52=5!2!*3!=10 olika sätt. Notera att detta är hälften så många sätt som om ordningen hade spelat roll (=5*4); Det spelar ju ingen roll vilken vi väljer först.
När vi valt de första två är vi tillbaks på "med ordning, utan återläggning" med tre roller kvar att fylla, och tre personer kvar att fylla dem med. Det kan göras på 3*2*1 = 6 olika sätt.
Totalt har vi alltså 10*6=60 olika sätt att rollbesätta en styrelse om 5 personer. Vilket är exakt samma svar som vi fick i fall B ovan. Och det är ju samma styrelse, så det ska bli samma svar oavsett angreppsvinkel på problemet.
Observera att om vi gör som i lösningen i B men även där ska tillsätta suppleanter när det är de enda rollerna kvar så kan det göras på 22=1 olika sätt. För att ta det i talspråk - Att välja ut två av två möjliga går att göra på ett sätt. Man väljer de två.

Hej Stakethinder.

Tack för din utförliga, pedagogiska förklaring! Jag börjar att förstå principen bakom tankesättet, men min förmåga att resonera på detta sätt är inte så väl utvecklat. Det tar som sagt lite tid att förstå resonemanget bakom textuppgifterna.

I exempel "D" har jag en liknande uppgift som kan lösas på ungefär samma sätt. Ska jag skriva upp den här, eller skapa en ny tråd?

Stakethinder 84
Postad: 19 apr 2017 16:39

Hej.

Gör en ny tråd istället. Du kan gärna referera til lden här med exempelvis en länk om du vill men ha infon ovberoende av denna tråden.

Svara
Close