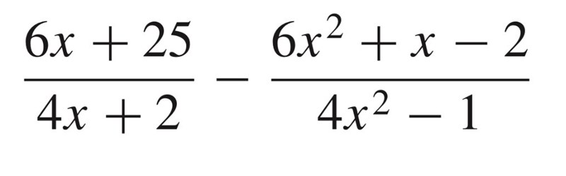
Hur löser man denna algebra

Jag multiplicerar över nämnarna så att jag får gemensam nämnare, därefter förenklar jag, men uppenbarligen inte tillräckligt bra. Svaret ska bli

Förläng det första bråket med (2x - 1) och det andra med 2, och visa vart du kör fast.
Börja med att faktorisera nämnarna, så ser du att de har en gemensam faktor.
Stokastisk skrev :Förläng det första bråket med (2x - 1) och det andra med 2, och visa vart du kör fast.

Vart kör jag fel?
Du kör inte fel ser det ut som, du stannar bara för tidigt (men jag har inte kollat igenom beräkningarna helt och hållet). Faktorisera täljare och nämnare och leta gemensamma faktorer. Tänk på konjugatregeln också, det kommer vara användbar för att faktorisera nämnaren. Det var så jag såg att du skulle förlänga första bråket med (2x - 1) eftersom 4x^2 - 1 = (2x - 1)(2x + 1) och 4x + 2 = 2(2x + 1).
När jag förenklar får jag då det här. Känns som att det är stopp?
Nej, det är inte stopp. Titta på parenteserna.
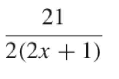
Du har att 42x - 21 = 21(2x - 1) samt att 2(4x^2 - 1) = 2(2x - 1)(2x + 1).
Tack så mycket, verkligen snällt!! Ska nog ta och titta över konjugatregeln en eller två gånger extra.
Hej Micromaster!
Börja med att notera att och att Konjugatregeln låter dig skriva
Albiki
Hej igen!
Utveckla polynomet i täljaren.
Albiki