Hur löser man denna fråga?
Hej, jag vet inte hur man ska påbörja och lösa en sådan fråga kan någon hjälpa mig med det samt förklara dessa symboler som har dy/dx exempelvis, tack på förhand!
Vilka symboler menar du?
Jan Ragnar skrev:
Hej och tack för ditt svar, dock så förstår jag inte din lösning. Skulle du kunna förklara ytterligare

https://mathb.in/80640
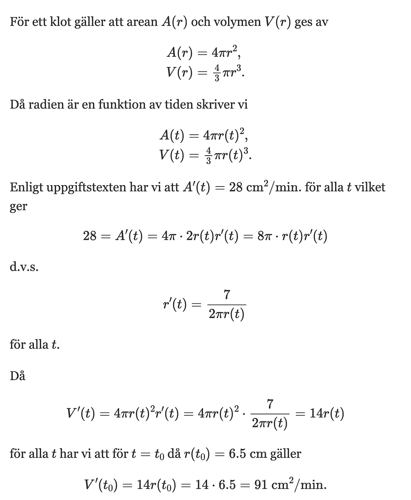
Frågan handlar om med vilken hastighet klotets volym ökar. När det gäller hastighet så är ju tiden också inblandad. Klotets volym V = (4/3)•π•r3. Deriverar vi detta med avseende på tiden t, så får vi dV/dt = 4π•r2•(dr/dt). Värdet på radien är angiven i uppgiften, med däremot inte värdet på dr/dt, men det kan vi ta fram ur klotets ytformel. Deriverar vi A = 4π•r2 med avseende på tiden t, så får vi
dA/dt = 8π•r•(dr/dt), vilket innebär att dr/dt = (dA/dt)/(8π•r). Sätter vi in detta i dV/dt-uttrycket ovan får vi att dV/dt = r•(dA/dt)/2, vilket leder till slutresultatet.
