3 svar
107 visningar
Korra behöver inte mer hjälp
Korra 3888
Postad: 30 apr 2024 10:42

Hur många lösningar?

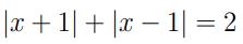
Hur många reella lösningar har denna ekvation ? 

Laguna Online 31803
Postad: 30 apr 2024 10:51

Oändligt många.

Trinity2 Online 3786
Postad: 30 apr 2024 10:53

Markera -1 och 1 på en tallinje,

Alla punkter/tal i intervallet [-1,1] har det summerade avståndet 2 till ytterpunkterna då intervallbredden är 2.

Oändligt många, men endast 3 heltalslösningar om det avses.

Korra 3888
Postad: 30 apr 2024 10:59

Najs!

Svara
Close