2
svar
149
visningar
maratikmatorkin behöver inte mer hjälp
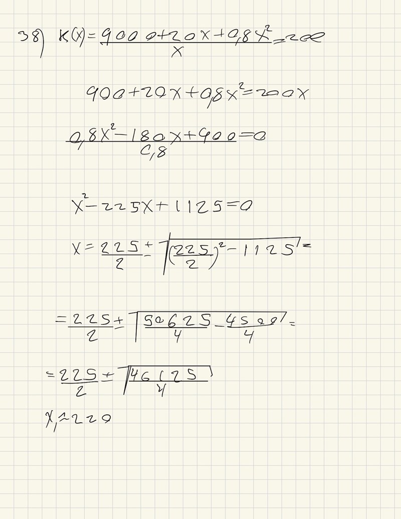
Hur många stolar finns om han beräknar att varje stol i genomsnitt kostar 200 att tillverka?
Hej.
har svårt för denna. Gjort en ansats som är min tolkning av det som står. Men, jag får inte till det till det i facit. Bifogar uppgiften, facit och ansats.

mvh
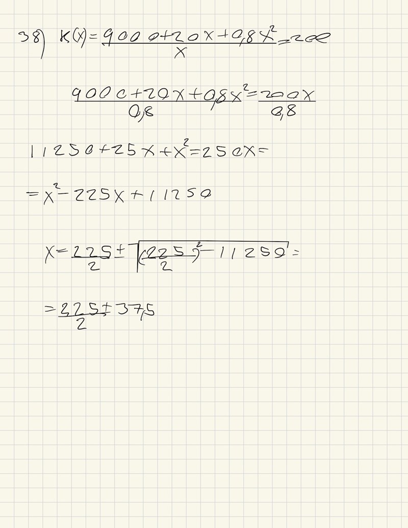
Du har tänkt rätt, men 9000 råkade bli 900 i steg 2 och förblev så.
thedifference skrev:Du har tänkt rätt, men 9000 råkade bli 900 i steg 2 och förblev så.
Tusen tack. Fick räkna om två gånger till p g a slarvfel men till sist så.
