Hur mycket vätska måste man tappa ut för att höja glykolhalten till 3/5?
min lärares lösning:
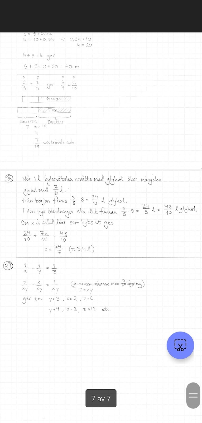
.jpg?width=800&upscale=false)
Här är min lösning:
Det jag inte fattar är varför den totala mängden glykol ökar med 7/10l om man ersätter 1l av spolarvätskan.

I kylaren finns 2,4 liter glykol och 5,6 liter vatten.
Vi vill att det ska vara 4,8 liter glykol och 3,2 liter vatten.
Eftersom vi inte ska fylla på vatten måste vi tappa ut tills det är
5,6–3,2 = 2,4 liter vatten kvar i kylaren
Blandningen vi tappar ut består till 7/10 av vatten.
Antag att vi tappar ut x liter. 7/10 av x = 2,4
x = 24/7 liter kylarvätska ska tappas ut
(men jag vill inte stå på macken i vintrig snålblåst och göra beräkningen i huvudet).
Tack för hjälpen, men herregud sover du aldrig?!
Haha, vaknade just :)
Såg förresten ett fel:
”Eftersom vi inte ska fylla på vatten måste vi tappa ut tills det är
5,6–3,2 = 2,4 liter vatten kvar i kylaren”
Jag tänkte rätt men skrev fel. Vi ska tappa ut tills det är 3,2 liter kvar, dvs 2,4 liter.