3
svar
112
visningar
Juliaanvändare behöver inte mer hjälp
Hur räknar jag in lilla 3an

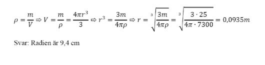
Fråga: Den lilla 3an som är framför roten tecknet, hur räknar jag in den? är det som *3?
Nej, det betyder att det är kubikroten i stället för kvadratroten.
Kvadratroten av x är och kubikroten är .
Aha, hur slår man in det på räknare?
Det beror på räknaren. En del har upphöjt på nån knapp (xy kanske).