Hur räknar jag ut talet? (Subtrahera två bråk med negativt tal i en täljare)
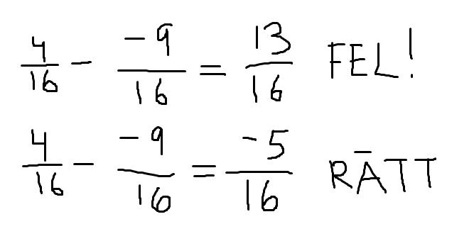
Jag förstår inte varför svaret blir det nedersta och inte det översta. - och - ska ju bli +. Vi har ju - - 9 vilket borde bli 13 men istället är det som att ett minustecken stryks utan att jag förstår varför. Jag skulle bli väldigt tacksam om någon kan förklara detta på ett begripligt sätt. Vet inte vilken mattekurs detta ingår i men gissar på att det kan vara Matte 1 på gymnasienivå, möjligtvis årskurs 9.
vart har du hittat uppgiften? har du facit?
Uppgiften finns i boken "Fatta matte" av Mattias Ribbing och Per Sundin. Talet jag har illustrerat ovan är bara en del av talet, den biten jag inte förstår. Från början ser talet ut såhär:
Och vet du vad jag ser nu? Att jag har bytt tecken till - mellan bråken genom rent slarv eller feltänkt. Jag har inte räknat matte på väldigt många år och är väldigt orutinerad. Men visst tänkte jag rätt i alla fall om talet verkligen hade sett ut som i min första illustration så hade väl rätt svar blivit 13/16? (Gömmer mig i skäms-kudden)
Kul att du har börjat räkna matte igen (:
Har själv läst boken för några år sedan
Vi kan börja med att titta på
Eftersom talen har en gemensam nämnare (16) kan vi skriva om det som
Om vi gör samma sak med får vi .
Om vi har två minustecken efter varandra blir det plus. dvs
Tack snälla för svar! Då tänkte jag alltså rätt men tecknade talet fel när jag förenklade det i första steget. Och ändå dubbelkollade jag allt flera gånger utan att kunna se att jag råkat byta tecken.
Det är en bra bok men går lite för fort fram med för få exempel. Jag gillar dock minnesteknikerna. Har tagit upp matten igen för att jag vill lära mig och även kunna hjälpa barnen med läxorna. Jag har levt i tron om att jag inte är en matematisk person men jag har fått väldigt lite uppmuntran och stöd från hem och skola när det gäller just det ämnet och jag har haft så lätt för andra ämnen så jag har fokuserat på dem. Jag har dock förstått att jag kan lära mig om jag gör det på rätt sätt. Och det allra viktigaste- matte är ju faktiskt kul! :)
Återigen, tack för ditt svar!