Hur räknar man detta utan miniräknare ?
Hej! Jag vet inte hur jag ska räkna denna frågan utan miniräknare.

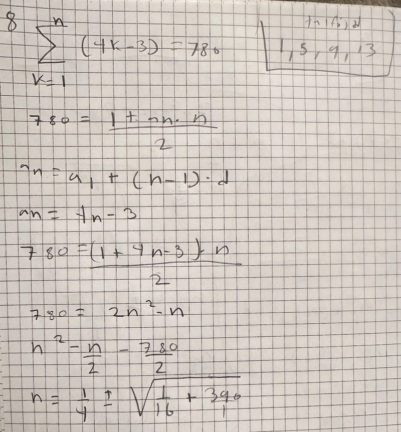
jag kom så här långt
om jag gör talen under rotecknet till samma nämnare kommer talet bli 6240/16 och det är ett för stort tal som jag inte vet rotenurn på
finns det ett annat sätt att lösa frågan ?
Dela upp summa
SUM_1^n (4k-3) = 4 SUM_1^n k - SUM_1^n 3 = 4 * 1/2 n(n+1) - 3n
och lös ekvationen.
Det blir 6241/16. Förstås är det jobbigt att ta roten ur 6241 utan miniräknare. Däremot kan man ju konstatera att 802=6400, så det måste vara <80 (men bara lite). Prova med 79? 9x9=81 så det slutar på en 1:a, vilket är lovande.
Finns det inga andra sätt att lösa denna uppgift? Är det bara att jag behöver testa mig fram?
R.zz skrev:Finns det inga andra sätt att lösa denna uppgift? Är det bara att jag behöver testa mig fram?
Man får gissa lite, det måste vara ett heltal. Man kan skriva om ekv. som
n^2 = 390+n/2
och man kan 'se' att
20^2 = 390+20/2
Kvadraterna för stora n är spridda så det är inte så svårt att 'ringa in' dem runt ett 'mål', i detta fallet 400 när 'basen' är 390. Kringliggande värden ligger ca. 40 steg bort i varje riktning och det kan aldrig n/2 kompensera för.

Finns det inga andra sätt att lösa denna uppgift? Är det bara att jag behöver testa mig fram?
Tja, efter man räknat summan och förenklat får man ekvationen
Man kan rent krasst räkna detta som hur man löser vilken annan andragradare som helst och det kommer fungera. Man får då att och man kan förenkla detta till med lite algebra. Det kanske inte är särskilt trevligt, men det fungerar.
Alternativt kan man tänka talteoretiskt. I vår ekvation faktoriserar vi ut , vilket ger
.
Då är udda måste faktorn vara i , osv. Efter förenkling blir det inte särskilt många fall att undersöka för hand (efter man räknat bort finns det exempelvis st möjliga , vilket man säkert kan dra ned).
AlexMu skrev:Finns det inga andra sätt att lösa denna uppgift? Är det bara att jag behöver testa mig fram?
Tja, efter man räknat summan och förenklat får man ekvationen
Man kan rent krasst räkna detta som hur man löser vilken annan andragradare som helst och det kommer fungera. Man får då att och man kan förenkla detta till med lite algebra. Det kanske inte är särskilt trevligt, men det fungerar.
Alternativt kan man tänka talteoretiskt. I vår ekvation faktoriserar vi ut , vilket ger
.
Då är udda måste faktorn vara i , osv. Efter förenkling blir det inte särskilt många fall att undersöka för hand (efter man räknat bort finns det exempelvis st möjliga , vilket man säkert kan dra ned).
Uppgiften verkar lite 'äldre' och då gillade man kvadrat och konjugat-omskrivningar och som du säger
390*16=6240=6400-160 varför 390*16+1=6400-160+1=80^2-2*80*1+(-1)^2=(80-1)^2=79^2