Hur räknar man ut momentanvärdesuttrycket?
Jag har en upg här som kom upp till tentan:
Här är mitt försök som blev helt fel men vet inte vart jag har gjort fel:
Ber om ursäkt för variablerna men det borde inte påverka resultaten. Skulle vara tacksam om någon kan påpeka vart som man har gjort för fel
Jag förstår inte heller vad du menar med
Pieter Kuiper skrev:Jag förstår inte heller vad du menar med
Ber om ursäkt men ska jag vara helt ärlig så har jag svårt för ämnet och inte 100% förstår vad jag gör då det mesta kommer från minne. Men kommer ihåg att jag använt något liknande och då funka det. Som sagt skulle vara tacksam ifall om någon kan ge en hint.
Apoas skrev:
Som sagt skulle vara tacksam ifall om någon kan ge en hint.
Om kapacitansen inte fanns, hur skulle uttrycket se ut då?
Om kapacitansen inte fanns, hur skulle uttrycket se ut då?
Hoppas du har tålamod men skulle bli en serie koppling på allt.
Då kan du väl svara på frågan vad momentanvärdesuttrycket skulle vara för spänningen över det ena motståndet.
Pieter Kuiper skrev:Då kan du väl svara på frågan vad momentanvärdesuttrycket skulle vara för spänningen över det ena motståndet.
Nja, lite osäker vad du menar, menar du e(t) = 18sin(wt) ? :/
Kan det vara detta du frågar om:
Totalimpedansen : Ztot = R * jωL + R + jωL
Spänningen : U = I * Ztot
Apoas skrev:Pieter Kuiper skrev:Då kan du väl svara på frågan vad momentanvärdesuttrycket skulle vara för spänningen över det ena motståndet.
Nja, lite osäker vad du menar, menar du e(t) = 18sin(wt) ? :/
Nej, du har då en spänningsdelare där båda motstånd är lika (350 Ω), så spänningen över varje motstånd blir
Nu, hur stor är kapacitansens impedans?
Om jag förstår rätt nu så bör det vara . Sen är w = 50rad eller ?
Apoas skrev:Om jag förstår rätt nu så bör det vara . Sen är w = 50rad eller ?
Om du inte vet det kan du slå upp själv att
Så det blir?
Så impedansen blir?
Z= −j ⋅ 1591.5 Ω?
Apoas skrev:Z= −j ⋅ 1591.5 Ω?
Visa hur du räknar.
Och resultatet är lite oväntat stort. Vid sådana skoluppgifter brukar det vara av ungefär samma storleksordning som motstånden.
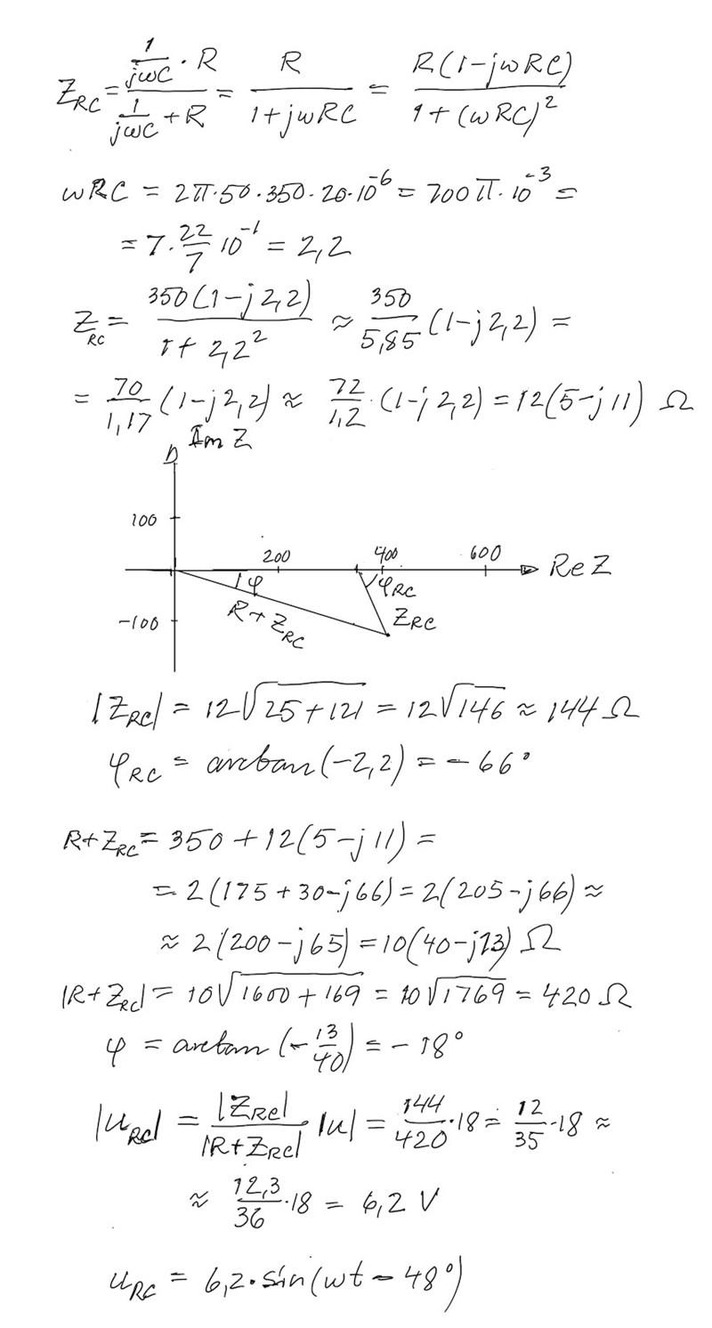
Apoas skrev:
Men
Och för att vara helt hundra kollar jag med https://www.allaboutcircuits.com/tools/capacitor-impedance-calculator/
ah, du har rätt. Hur ska man tänka där efter då man har fått ut Z, är att räkna ut strömmen som går till C och sedan räkna ut spänningen med U = Rz * I ?
Då jag är osäker hur man kan räkna ut hur mycket ström som går vart.
Apoas skrev:ah, du har rätt. Hur ska man tänka där efter då man har fått ut Z, är att räkna ut strömmen som går till C och sedan räkna ut spänningen med U = Rz * I ?
Då jag är osäker hur man kan räkna ut hur mycket ström som går vart.
Det finns lite olika sätt att skriva ut det (komplexa tal, visarmetoden, med olika variationer). Det är nog bäst att du följer det sättet som de använder i din bok.
Men vad man kan säga på en gång genom att betrakta det som en spänningsdelare med och där är ungefär halv så stor som att spänningen över kapacitansen blir typ en tredjedel av 18 volt.
Så svaret i detta fall skulle bli 6sin(wt) ?
Apoas skrev:Så svaret i detta fall skulle bli 6sin(wt) ?
Nejnej, du måste också räkna ut fasförskjutningen.
Och värdet. Jag bara ville säga att det blir mycket mer än de 17 mV som du hade räknat ut.
Jag är helt förvirrad men hoppas att jag hittar svar imorgon i boken eller i nätet. Tack ändå.
Trevligt att se att det stämmer att det blir ungefär 6 volt!
