Hur ska jag fortsätta lösa ekvationen kommer inte längre.


Den där sortens ekvation som du får på slutet brukar kräva numeriska metoder. Kan det vara så att uppgiften är menad att lösas med digitala verktyg?
Hej,
Beteckningen står för antalet enheter som produceras vid månad , räknad från nyår.
- Om man räknar månader som decimaltal (så att det exempelvis är meningsfullt att prata om månad ) så kan man använda integral för att besvara frågan.
- Om det inte är meningsfullt att använda decimaltal för att beskriva månad, utan bara kan anta heltalsvärden (månad x=1, månad x=2 och så vidare), så kan man använda summa för att besvara frågan.
Om man använder integral så gäller det att bestämma månaden där
Om man använder summa så gäller det att bestämma månaden där
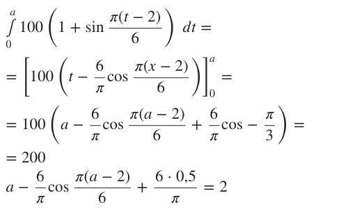
Med integral är problemet att finna så att
Integralen beräknas till
.
Inför beteckningen så att problemet handlar om att finna det minsta sådant att
- Rita grafen till funktionen och hitta den punkt där överskrider nivån för första gången; funktionen är växande, så det finns bara ett sådant u-värde.
Grafen indikerar att och att så det sökta u-värdet ligger någonstans mellan 0.4 och 0.45; förslagsvis kan man ta .
Om så är det motsvarande x-värdet
.
Resultat: Produktionsmålet uppnås efter 2 månader och 24 dagar.