Hur ska jag gå tillväga med detta?
Jag är helt nybörjare inom området och ställer massa dumma frågor om det här.


Vad är det du undrar över? Bestäm ändringskvoten kring med allt mindre värden på .
Jag undrade vad 1 betydde, men det betyder alltså x= 1
Jag trodde att det betydde derivatan 1, när det stod f'(1)
Du bör tänka på att f'(x) är en funktion precis som vilken annan funktion som helst. Den är relaterad till f(x) genom att den är f:s derivata. Därför betyder f'(1) som vanligt att det är funktionen f' utvärderad i 1. Precis som f(1) betyder att det är funktionen f utvärderad i 1.
Om det hade betytt att derivatan är lika med ett hade det stått något i stil med:
Eftersom det står 1/x, då ska 1 stoppas in i x. Blir ökningen 0,1 0,01 0,001
Det kanske ska divideras
1/1.1
1/1.01
1/1.001
vad får vi veta nu, om man gör så?
Om du går tillbaka till diskussionen igår. Då hade du en punkt (x, f(x)) och (x + h, f(x + h)) och beräknade lutningskoefficienten för sekanten mellan dessa.
Det är det du ska göra här, du ska välja ett litet h och beräkna lutningskoefficienten som går genom punkterna (x, f(x)) och (x + h, f(x + h)). Sedan väljer du h mindre och mindre och beräknar lutningskoefficienten för dessa h:n.
Du ska inte beräkna 1/1.1, 1/1.01, osv.
Det är inte rätt ansats. Du ska beräkna kvoten:
med .
Jag kommer tjata på dig med på detta tills du ger med dig. Kan du motivera vilken regel du använde mellan alla de där stegen? Kan du skriva ut vad du gjorde mellan varje steg och motivera varför de är korrekta?
Päivi skrev :
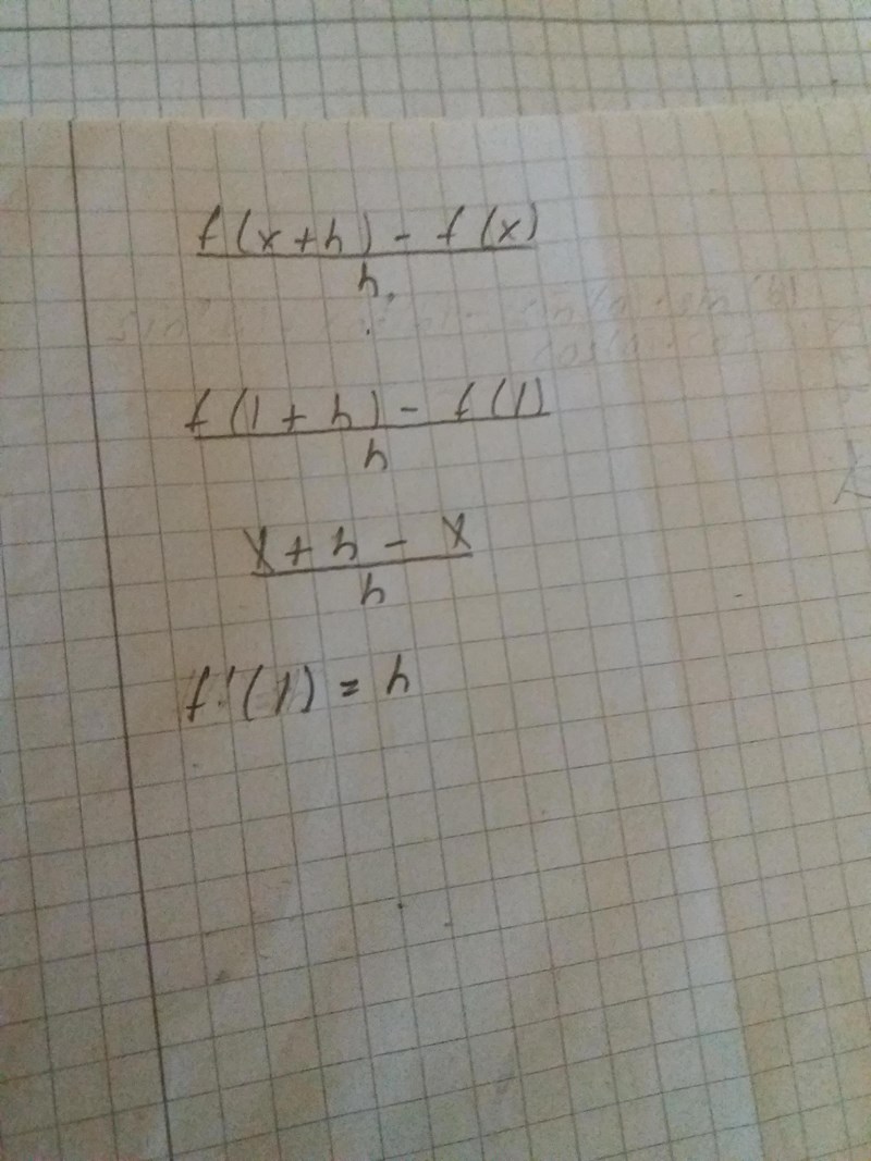
Du har skrivit att f(1+h) = 1+h och att f(1) = 1, men det stämmer inte.
--------
Vi har att f(x) = 1/x. Alltså är:
- f(1+h) = 1/(1+h)
- f(1) = 1/1
Yngve skrev :
Päivi skrev :
Du har skrivut att f(1+h) = 1+h och att f(1) = 1, men det stämmer inte.
Vi har att f(x) = 1/x. Alltså är:
- f(1+h) = 1/(1+h)
- f(1) = 1/1
Jag fick dubbelt det som Yngve nu visade.
Mina tankar var åt samma håll som Yngve tar upp här. Vågade inte ta fram detta. Så här tänkte jag från början men ville visa innan jag skulle få veta mer. Hur ska man gå vidare med detta. Visar kort snart.
Det du skriver att det inte hör till uträkningen hör i allra högsta grad till uträkningen. Det är steg som motiverar hur du kom fram till det du kom fram till.
Det gäller däremot att
Detta är vad
är lika som, du ska nu beräkna vad
är lika som, och du ska sedan beräkna för mindre och mindre h vad du får.
Ska jag ta då
h. f(1+ h)-f(1)
1 1^2. = 1
nej jag vet inte, hur jag ska göra med detta.
Du ska beräkna
först. Detta är lika som
Nu väljer du exempelvis h = 0.1 och beräknar vad detta uttryck är lika som. Sedan h = 0.01, sedan h = 0.001 osv.
Det ska vara mindre än 1 och då blir det 1/10, 1/100, 1/1000?
Är det så du Stokastisk menar?
Nu har jag säkert förstått det här.
Man är nybörjare, men man ska lära även detta också.
Jag ska göra en tabell om detta.
På det stora hela är det där korrekt. Du har alltså kommit fram till att då h är blir mindre och mindre så närmar sig kvoten
sig -1. Slutsatsen av det är att f'(1) = -1.
Här är några kontrollfrågor som jag tycker du bör fundera på
- Vad representerar kvoten ?
- Varför väljer man h mindre och mindre?
- Varför låter vi inte h = 0 direkt?
Det här är väldigt nytt för mig. Jag har inte idag svar på dessa frågor måste jag säga.
Om man hade förkortat bort h, kunde fick man ha överseende med nollan. Jag klarar inte svara på sådana här frågor. Derivata är riktigt nytt för mig.
Päivi skrev :Det här är väldigt nytt för mig. Jag har inte idag svar på dessa frågor måste jag säga.
Om man hade förkortat bort h, kunde fick man ha överseende med nollan. Jag klarar inte svara på sådana här frågor. Derivata är riktigt nytt för mig.
Det är bra att du säger till att du inte har svar Päivi.
Nej du kanske inte behöver ha direkta svar på det just nu. Men det är väldigt väldigt viktiga saker att fundera på för att du ska förstå dig på vad derivatan handlar om.
Om du går igenom några exempel som du har i boken och har dessa frågor i bakhuvudet så kanske du finner svar på dem.
Jag tänkte inte på för länge sedan att jag borde ha skrivit så här tidigare också. Jag har tittat så mycket nytt hela tiden. Logaritmer är också nytt för mig. Jag har logaritmer i matte c bok, men de kommer efter derivata. Jag har läst som sagt matte A och B kurs. Logaritmer finns i C matte som har blivit flyttade till matte 2 idag.
Jag kan inte alltid svara på frågor, när jag inte har svar till frågorna. Nu måste jag säga det.
Stokastisk skrev :Nej du kanske inte behöver ha direkta svar på det just nu. Men det är väldigt väldigt viktiga saker att fundera på för att du ska förstå dig på vad derivatan handlar om.
Om du går igenom några exempel som du har i boken och har dessa frågor i bakhuvudet så kanske du finner svar på dem.
Jag har fått lite sådana tankar redan, men svar till dessa har inte jag än. Vi får väl se, när svaren dyker upp här framöver.
Päivi skrev :Stokastisk skrev :Nej du kanske inte behöver ha direkta svar på det just nu. Men det är väldigt väldigt viktiga saker att fundera på för att du ska förstå dig på vad derivatan handlar om.
Om du går igenom några exempel som du har i boken och har dessa frågor i bakhuvudet så kanske du finner svar på dem.
Jag har fått lite sådana tankar redan, men svar till dessa har inte jag än. Vi får väl se, när svaren dyker upp här framöver.
Det är sådana här saker du måste se till så att du vet svaret på för att verkligen förstå vad det är du gör. Ta och leta upp i din bok var de beskriver förändringskvoten
och försök gå igenom vad den representerar. Detta är något du helt och hållet kan förstå och är definitivt inget nytt för dig.
Matematik handlar mycket mer om att förstå sånt här istället för att ha memorerat tillvägagångssättet man gör för att komma fram till saker, som i detta exempel . Om du hade beskrivit för Gauss vad en derivata var så skulle han kommit tillbaka nästa dag och ha härlett alla formler man använder för derivator utan att någon hade berättat dem för honom.
Jag går försiktigt nu framåt med derivata så jag får det smälta in i mig. Har inte bråttom med det.
Päivi skrev :Jag går försiktigt nu framåt med derivata så jag får det smälta in i mig. Har inte bråttom med det.
Det låter bra, men att leta reda på vad den där förändringskvoten kommer ifrån och förstå vad den representera är nog en väldigt bra sak att du sitter och funderar på. Jag försöker bara peka ut att detta är en väldigt relevant sak som kommer hjälpa dig att förstå andra saker med derivatan.
Jag förstår det. Det kommer all säkerhet fram. Jag gör lite uppgifter om derivata eftersom jag går varsamt framåt. Måste få allt i minnet. Kapitlet är ju helt nytt och jag nybörjare inom området. Jag har en hel sida om sammanfattning på det här. Nästa kapitel handlar om deriverings regler. Jag har övnings bok och har övningar på det här området än, innan jag är där.



