Päivi skrev :
Hej Päivi.
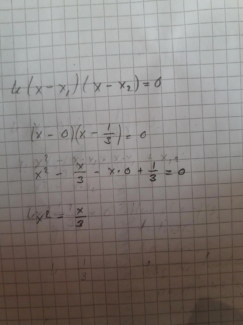
En andragradsekvation kan generellt skrivas på formen
, där k är en konstant samt och är ekvationens rötter.
Du känner till rötterna och nu gäller det bara att bestämma ett värde på k så att villkoret om heltalskoefficienter uppfylls.
Rätta till
Sedan verkar x:en ha försvunnit i sista raden av någon anledning.
I stället för noll skall du sätta in ditt uttryck
Tänk på att
Jag tog även med ett c för mycket i uttrycket.
Det skall alltså vara:
x
Tack så mycket.
Fick du ut värdena på a och b. När du fått det så kan du kontrollera rötterna på med dina värden på a och b.
Jag väntar.
Päivi skrev :Jag väntar.
Vad väntar du på?
När tisdag ska komma.
Hej Päivi.
Din andragradsekvation lyder
Denna andragradsekvation är nu skriven på formen
, där a=k och b=k/3.
Du vill nu välja ett värde på k så att båda koefficienterna a och b är heltal.
Antingen så ser du nu på en gång att k=3 uppfyller det kravet, eller också prövar du dig fram på följande sätt:
- Om k=1 så är a=1 och b=1/3. b är inte ett heltal.
- Om k=2 så är a=2 och b=2/3. b är inte ett heltal.
- Om k=3 så är a=3 och b=3/3=1. Då är både a och b heltal.
Svar:
Tack för detta, Yngve!


