10
svar
428
visningar
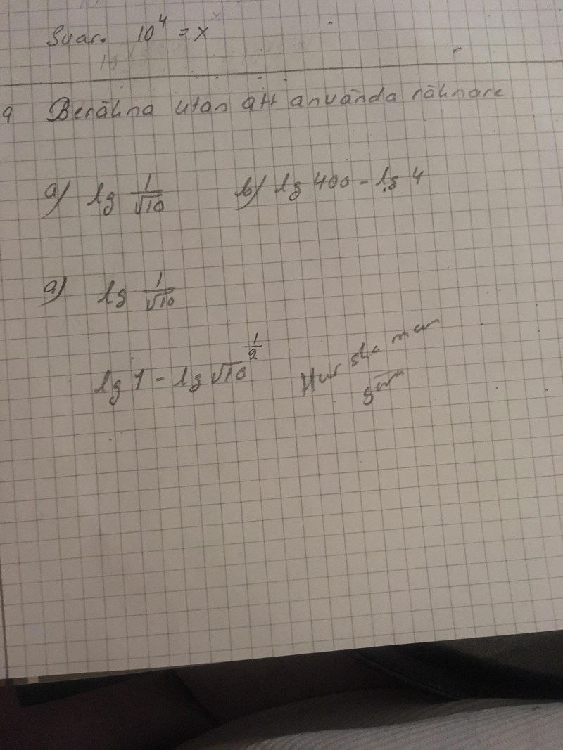
! Däremot kan du skriva roten ur tio som . Då kan du använda dig av logaritmlagen som säger att . Kommer du vidare då?
1/2* log 10
1/2 *1
Mycket riktigt! Vad blir då svaret på frågan?
1/roten ur 10= -1/2
Nej, inte riktigt. Frågan var vad är. Du började med att separera bråket till två log-uttryck, och sedan räknade du ut vad var. Vad får du om du räknar samman allt?
Jag svarar 1/2
Det var faktiskt en liten kuggfråga! Vad är lika med? Vad blir
-1/2 är svaret
Tack för detta, Smutstvätt!
