besvärligt kontrollera


Kontrollen är besvärlig
Päivi skrev :
Hej Päivi.
Du har kommit fram till rätt resultat. Vad vill du ha hjälp med?
--------
Noteringar:
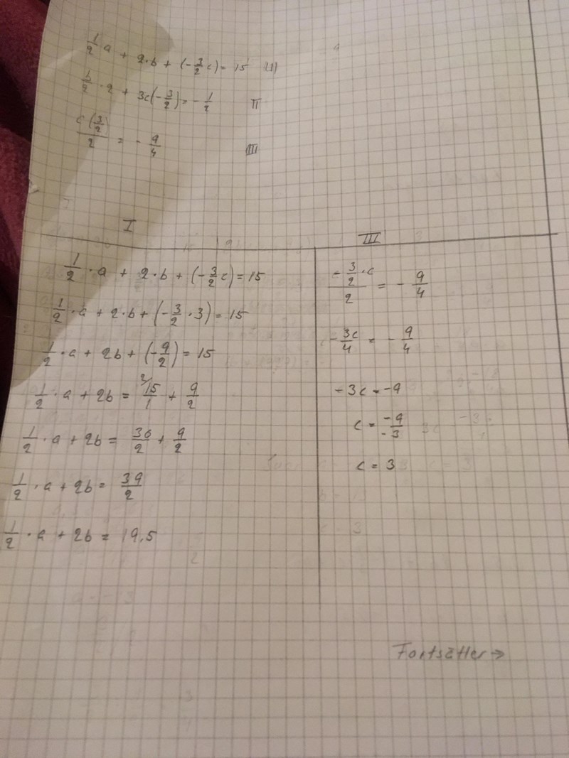
Det är lite svårt att följa dina uträkningar, dels på grund av att du inte förklarar hur du tänker eller vad du gör, dels för att du gör flera skrivfel.
Jag har lagt så mycket som möjligt till decimal form för att underlätta det hela. Jag substituerar. Tyckte att det är enklaste sättet. Visst kan kag ta bort det och strunta heja uppgiften.
Jag fick problem kontrollera detta.
Är det nu bättre ?

Lösningsförslag:
Om vi sätter in värdena för x, y och z i ekvationssystemet så får vi följande ekvationer:
Ekv. I:
Ekv. II:
Ekv III:
Förenklat:
Ekv. I:
Ekv. II:
Ekv III:
Ekvation III ger nu att . Om vi sätter in det i ekvation II så får vi
, dvs
Om vi nu sätter in c = 3 och b = 13 i ekvation I så får vi:
, dvs , dvs
Svar: a = -13, b = 13, c = 3.
Tack Yngve!

