3
svar
175
visningar
Jasmine12 behöver inte mer hjälp
Hur ska man tänka? (Integraler)

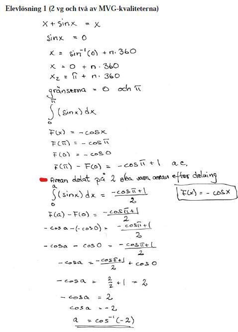
Uppgiften här ovan presenteras med ett elevsvar. Jag förstår precis allt som sker tills där jag markerat med rött och det står följande "arean delat på 2 ska vara arean efter delning". Varför blir det så, hur avgör man när detta sker? OBS, att elevlösningen resulterar i ett fel svar, men jag är just nu ej ute efter svaret utan själva proceduren.
Du har först räknat ut arean på hela A
Nu skall du ta fram ett a som ger dig halva A (det står i uppgiften)
Det står i uppgiften att linjen x = a (alltså en lodrät linje) delar området A i tå lika stora delar. Då blir var och en av dessa delar hälften så stor som hela A.
Aha, är det där det står "delar området A i två lika stora delar"