2
svar
188
visningar
JEn_par behöver inte mer hjälp
Hur ska man tänka med denna ?
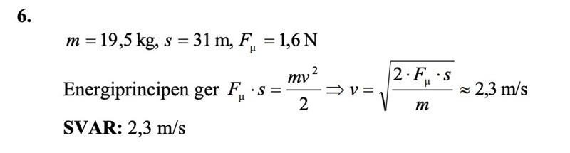
Maria Prytz spelar curling och skall skicka iväg stenen längs isen så att den
stannar i det så kallade boet. Boet ligger 31 m från den punkt varifrån hon skickar
iväg stenen. Friktionskraften är konstant 1,6 N och stenen väger 19,5 kg.
Med vilken hastighet skall Maria skicka iväg stenen?
enligt facit för denna Np- fråga så ska man använda sig av energiprincipen men vad har det med självaste frågan att göra?
Från vilket NP kommer frågan?
JEn_par skrev:
Enligt facit för denna Np-fråga så ska man använda sig av energiprincipen men vad har det med självaste frågan att göra?
Så du har facit:
Vad är oklart?