3 svar
156 visningar
Albin.k behöver inte mer hjälp
Albin.k 38 – Fd. Medlem
Postad: 4 feb 2022 21:55

Hur ska man tolka ett uttryck som a/b/c ?

Alltså, om man har ett uttryck som abc, ska man tolka det på något förbestämt sätt? a(bc)eller (ab)ctill exempel?

Programmeraren 3390
Postad: 4 feb 2022 22:24

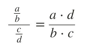
a/b/c tolkas som (a/b)/c

Exempel:
30/2/5=(30/2)/5=15/5=3

Notera att
a/b/c = a/(b*c)

Exempel:
30/2/5=30/(2*5)=30/10=3

Albin.k 38 – Fd. Medlem
Postad: 4 feb 2022 22:32

OK. Och om man av någon anledning skulle ha ett uttryck som abcde blir det (((ab)c)d)e? Alternativt abcde?

Programmeraren 3390
Postad: 4 feb 2022 22:37 Redigerad: 4 feb 2022 22:44

Jag tolkar det som ((a/b)/c) / (d/e)

((a/b)/c) / (d/e) = (a/(b*c) / (d/e) = (a*e)/(b*c*d)

Om ena bråket istället är ett tal, t ex (a/b)/c kan du ersätta det med (a/b)/(c/1) och sen använda formeln

https://www.matteboken.se/lektioner/matte-1/tal/multiplikation-och-division-av-brak

 

Svara
Close