Hur skriver jag dubbelrot som svar?

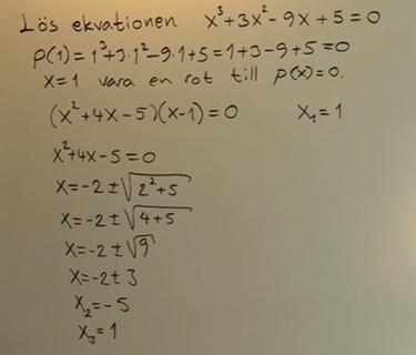
Denna problem har lösningen
x1=1
x2=1
x3=-5
Det är alltså en dubbelrot vid x=1. Hur skriver jag detta som svar? Skriver jag x1=1, x2=1, och x3=-5? Eller skriver jag x har dubbelrot vid x=1 och nollställe vid x=-5?
Tompalomp skrev:
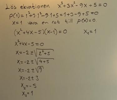
Denna problem har lösningen
x1=1
x2=1
x3=-5
Det är alltså en dubbelrot vid x=1. Hur skriver jag detta som svar? Skriver jag x1=1, x2=1, och x3=-5? Eller skriver jag x har dubbelrot vid x=1 och nollställe vid x=-5?
Båda sätten borde gå bra, om det inte står några särskilda anvisningar om hur man skall svara.
Smaragdalena skrev:Tompalomp skrev:
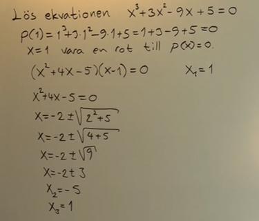
Denna problem har lösningen
x1=1
x2=1
x3=-5
Det är alltså en dubbelrot vid x=1. Hur skriver jag detta som svar? Skriver jag x1=1, x2=1, och x3=-5? Eller skriver jag x har dubbelrot vid x=1 och nollställe vid x=-5?
Båda sätten borde gå bra, om det inte står några särskilda anvisningar om hur man skall svara.
okej, tack!

