Hur skriver jag en serie på sluten formel?
Hej!
Uppgiften lyder
.jpg?width=800&upscale=false)
och vet inte hur jag ska börja. Har försökt att skriva om den till en geometrisk serie, men kan ej få f(x) att efterlikna den.
Ska jag beräkna summan av serien? Hur beräknar jag i så fall summan? Eller hur ska jag göra? Behöver hjälp (detta är en inlämning som ska in snart).
(Kursen är envariabel analys)
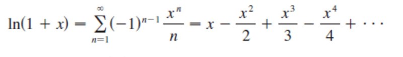
Börja med att skriva ut taylorserien för ln(1+x) och jämför dessa.
Tack för ditt svar!
Jag har gjort det men ser ingen exakt liknelse eller på något sätt det kan hjälpa (för de är ej så lika). Ser du något om man jämför dem?
När man har en potensserie kan man packa in alla poteneser med samma grad innanför en parentes
Gör man ett variabelbyte
ser man att serien är
Detta är i praktiken något man alltid kan göra när flera faktorer i termerna har samma grad
SeriousCephalopod skrev:När man har en potensserie kan man packa in alla poteneser med samma grad innanför en parentes
Gör man ett variabelbyte
ser man att serien är
Detta är i praktiken något man alltid kan göra när flera faktorer i termerna har samma grad
Woow!! Tack så mycket!! Så smart!!
Nu blir ju serien lik ln(1+x) (kallar den för {bn}):

men det blir samma om man tar absolutbelopp på bn. Blir då slutna formeln (på serien som frågas efter i inlämningsuppgiften) absolutbeloppet av ln(1+x) men där x är utbytt mot x3/3? Men det kanske ej är rimligt?
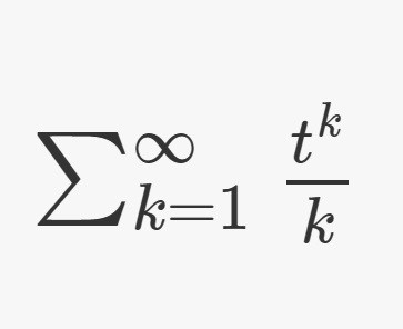
Hur tar jag fram slutna formeln till

? Finns det något bra tillvägagångssätt?
Emma. skrev:SeriousCephalopod skrev:När man har en potensserie kan man packa in alla poteneser med samma grad innanför en parentes
Gör man ett variabelbyte
ser man att serien är
Detta är i praktiken något man alltid kan göra när flera faktorer i termerna har samma grad
Woow!! Tack så mycket!! Så smart!!
Nu blir ju serien lik ln(1+x) (kallar den för {bn}):
men det blir samma om man tar absolutbelopp på bn. Blir då slutna formeln (på serien som frågas efter i inlämningsuppgiften) absolutbeloppet av ln(1+x) men där x är utbytt mot x3/3? Men det kanske ej är rimligt?
om du tar absolutbeloppet kommer det väl påverka slutresultatet och inte tecknet mellan termerna?