1
svar
105
visningar
mocko behöver inte mer hjälp
Hur skriver man en härledning av en formel
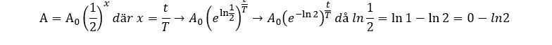
Hej, jag har fått i uppgift att härleda en formel och undrar hur man ska skriva stegen.
Är det rätt att använda pilarna (->) på detta sätt eller hur ska man skriva det?

I ditt fall skulle jag nog använt ekvivalens-pil (\iff om du skriver i LaTeX eller här på Pluggakuten)