3
svar
79
visningar
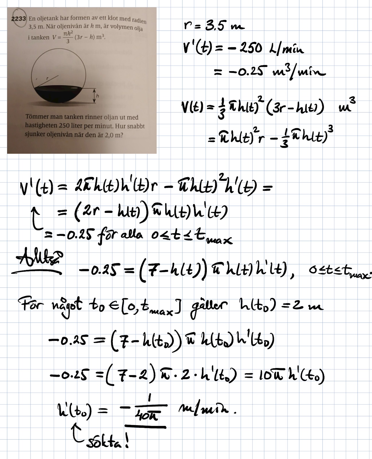
Hur snabbt sjunkee oljenivån ?

Jag kedje regeln är den jag har störst nytta av:
Jag tänker mig att jag ställer:
Visa spoiler

https://www.youtube.com/watch?v=-f3ZdEQKWpk
Hon yrar bitvis till det lite men kanske något kan vara till hjälp.