Hur snabbt sjunker oljenivån?
Hej, jag behöver hjälp med denna uppgift. Jag vet inte hur jag ska börja. Jag har skrivit ner vad jag vet vilket är r= 4m, 200l/min och V= formeln. Men vet int
e riktigt hur jag ska lösa denna uppgift.
Vad är de man frågar efter "på matematiska"?
menar man när h är 2 m ,hur snabbt rinner oljan ut? vilken hastighet
En hastighet, ja. Vad brukar hastigheter vara?
Jag har en känsla av att man ska derivera V= formeln. Men vet inte varför
Jo, derivera för att få hastigheten
Just det. Vad är det du skall derivera, och med avseende på vad?
ska man derivera (pi*h ^2)/3 * (3r-h)?
Sakta i backarna, en sak i taget! Vilken derivata är det du vill få fram?
Jag förstår inte riktigt
Tänker du på kedjeregeln eller liknande
Sedan kanske man ska derivera g(h) och f(h)?
ska man kanske också sätta in h är lika med 2 efter att man deriverat?
Du vill ta reda på hur fort oljenivån sjunker, d v s h'(t), när h = 2,0 m. Du vet att volymen i tanken , att r =4,0 m och att oljan rinner ut med hastigheten 200 liter/minut.
Du vet alltså V'(t) = -200 liter/minut, och du kan derivera V(h). Hur skall du sätta ihop detta fr att få fram det du behöver?
Smaragdalena skrev:Du vill ta reda på hur fort oljenivån sjunker, d v s h'(t), när h = 2,0 m. Du vet att volymen i tanken , att r =4,0 m och att oljan rinner ut med hastigheten 200 liter/minut.
Du vet alltså V'(t) = -200 liter/minut, och du kan derivera V(h). Hur skall du sätta ihop detta fr att få fram det du behöver?
Vad betyder Latex?
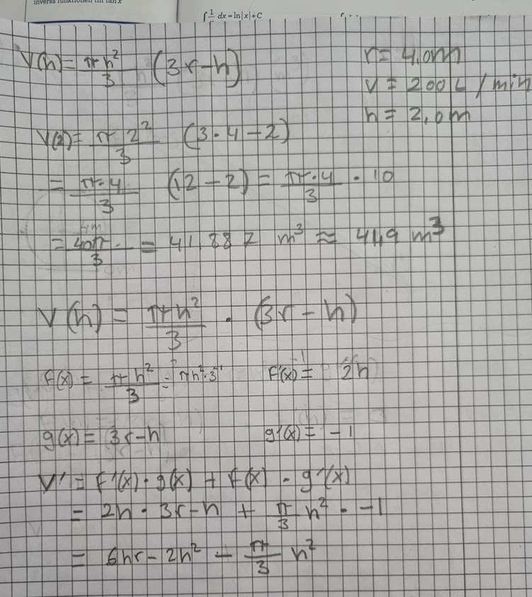
Ska man kanske börja med att beräkna volymen i tanken genom att sätta in r=4,0m och h=2,0 m?
nu har jag volymen i tanken vid 2 m
ska jag kanske derivera volymen och sedan sätta det lika med -200?
Är jag på rätt spår? jag vet inte hur jag ska derivera (pi*h^2)*3^-1
Kunskap=Nyckel skrev:Smaragdalena skrev:Du vill ta reda på hur fort oljenivån sjunker, d v s h'(t), när h = 2,0 m. Du vet att volymen i tanken , att r =4,0 m och att oljan rinner ut med hastigheten 200 liter/minut.
Du vet alltså V'(t) = -200 liter/minut, och du kan derivera V(h). Hur skall du sätta ihop detta fr att få fram det du behöver?
Vad betyder Latex?
Jag skrev fel när jag skrev av formeln från uppgiften, och la inte märke till att det blev fel. Få se om det funkar nu...
Kunskap=Nyckel skrev:
Är jag på rätt spår? jag vet inte hur jag ska derivera (pi*h^2)*3^-1
Jag högerklickade på bilden och la den i en separat flik så att det gick att läsa sina pyttesmå siffror... Nu har jag fixat till bilden.
Vad är de som är svårt med att derivera ?
Du verkar ännu inte ha skrivit ner sambandet mellan de tre derivatorna.
Ska man använda kedjeregeln när man deriverq den?
Jag vet inte riktigt hur sambandet ska se ut mellan de tre derivatorna.
eller blir derivatan kanske -x*3^-2 2h
Kunskap=Nyckel skrev:Ska man använda kedjeregeln när man deriverq den?
Jag vet inte riktigt hur sambandet ska se ut mellan de tre derivatorna.
Leta upp din mattebok och leta upp rätt kapitel. Läs det. Fråga här om det är något som är krångligt.
Okej, ska se hur man ska derivera det hela
Kunskap=Nyckel skrev:Okej, ska se hur man ska derivera det hela
Nja, det skall vara ett kapitel som handlar om hur olika derivator hänger ihop med varandra, t ex .
Blir detta rätt?
Nej, det är inte rätt.
Man behöver inte använda produktregeln här (om man inte tycker det är kul). Det är lättare att derivera V(h) om man börjar med att multiplicera in i parentesen, då blir det så derivatan blir .
Du verkar ha tappat bort konstanten när du deriverar din f(h), som du av någon anledning kallar f(x) - men om man försöker derivera funktionen så blir derivatan 0, eftersom allting är konstanter.
Smaragdalena skrev:Nej, det är inte rätt.
Man behöver inte använda produktregeln här (om man inte tycker det är kul). Det är lättare att derivera V(h) om man börjar med att multiplicera in i parentesen, då blir det så derivatan blir .
Du verkar ha tappat bort konstanten när du deriverar din f(h), som du av någon anledning kallar f(x) - men om man försöker derivera funktionen så blir derivatan 0, eftersom allting är konstanter.
Borde det inte vara 3 före h^2 vid V(h)?

Tillägg: 23 apr 2022 19:13
Jag tänkte fel där
Okej, nu har man beräknat derivatan av V(h) och det var ju hastigheten. Ska jag nu sätta h = 2,0 m och r=4,0 m för att få hastigheten vid 2 meter?
Jag kan inte hitta att du har skrivit upp sambandet mellan de tre derivatorna nånstans. Det är möjligt att jag har missat det, eftersom du inte berättar vad det är du beräknar på varje rad.
Vad menar du med sambandet mellan de tre derivatorna, menar du ?
Först har jag satt in h=2 i V(h) utan att derivera och beräknat volymen där. Sedan har du visat mig hur jag ska derivera V´(h) och det har jag redovisat. Därefter satte jag in h=2 i V´(h), alltså V´(2) och beräknat det vilket blir 12pi.
12pi är hastigheten har vi sagt och enheten blir då l/min
Kunskap=Nyckel skrev:Vad menar du med sambandet mellan de tre derivatorna, menar du ?
Nej, det var bara ett exempel, du måste anpassa det efter den hr uppgiften. Det är inte lönt att förska fortsätta innan detta har blivit rätt.
Hmm, skriv sambandet mellan de tre derivatorna🤔
Visa spoiler
För dig som får liknande uppgift så är tankesättet på det sätt som visas på bilden 😉



Är jag på rätt spår? jag vet inte hur jag ska derivera (pi*h^2)*3^-1