6
svar
87
visningar
limalime behöver inte mer hjälp
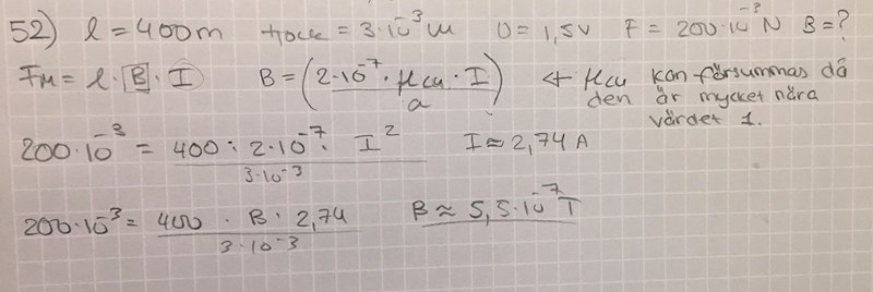
Hur starkt är magnetfältet?
Hej!
Jag har fastnat på denna uppgift och ser inte felet jag gör ..?

Svaret ska bli 320*10^-6 T men jag får det till 5,5*10^-7 T
Kan du räkna ut resistansen? Du har tjockleken och arean.
Är formeln för det då R=densitet (koppar)* längden/tvärsnittsarean ?
och hur får man fram tvärsnittsarean?
limalime skrev:Är formeln för det då R=densitet (koppar)* längden/tvärsnittsarean ?
och hur får man fram tvärsnittsarean?
tvärsnittsarean är arean av en cirkel med diametern 3 mm
Får fortfarande fel svar i mina beräkningar. De bokstäverna jag markerat med en kvadrat är dom värdena jag sparat i miniräknaren.

Du har tagit densiteten för koppar istf resistiviteten som är 1,67 × 10^(-8).
Oj, ok nu blir det rätt. Tack!