Hur stor andel av figuren är färgad?
Hej, uppgiften vill veta hur stor andel av följande figur är färgad:

Jag gav det tre olika försök där jag ändrade något litet i min uträkning varje gång:

Men fick alltid fel svar, och jag förstår inte lösningen som är given. Skulle någon kunna förklara? Tack!
Det var bra start, men det blev fel när två bråk adderades.
(Försök 1) Hur fick du en 3:a här?

Det stämmer ju inte att eftersom medan .
Därmed stämmer det inte att .
Däremot kan man bryta ut , vilket ger
(Försök 2) Hur fick du en 2:a här?

Det stämmer ju inte att , så det stämmer inte heller att .
Notera dock att redan bråket inte var korrekt. När förlängs så att nämnaren blir , så förlänger man med . Bråket 1/4 efter förlängningen borde ha varit .
Notera också att det vore enklare att förkorta och sedan förlänga
(Försök 3) Här blev förenklingen av det sammansatta bråket fel:

I nämnaren borde man ha fått .
Tack för ditt utförliga svar! Det var väldigt hjälpsamt.
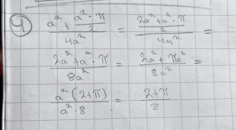
Jag gav det ett till försök:

Där svaret äntligen blev korrekt. Ser utlösningen okej ut?