2
svar
185
visningar
Studenten06 behöver inte mer hjälp
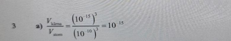
Hur stor del av atomens volym utgörs av atomkärnan?



Väldigt konstigt förklarat i facit. Varför gör de bara upphöjt med tre på radierna? Ska det inte vara pi gånger radien upphöjt med 2 för sfärisk figur?
Här kan du läsa på om volymen för ett klot.
De övriga faktorerna utöver radien kommer ta ut varandra, därmed är det endast radierna kvar.
Calle_K skrev:Här kan du läsa på om volymen för ett klot.
De övriga faktorerna utöver radien kommer ta ut varandra, därmed är det endast radierna kvar.
Jaa! Råkade blanda ihop med en annan formel för volym och t.ex pi tar ut varandra såklart. Tack.