Hur stor energi krävs för att kollision ska bilda ny partikel X?
Hejsan!
Om ni har något förslag på hur jag kan gå vidare/tänka om på den här frågan får ni gärna dela det här! (:

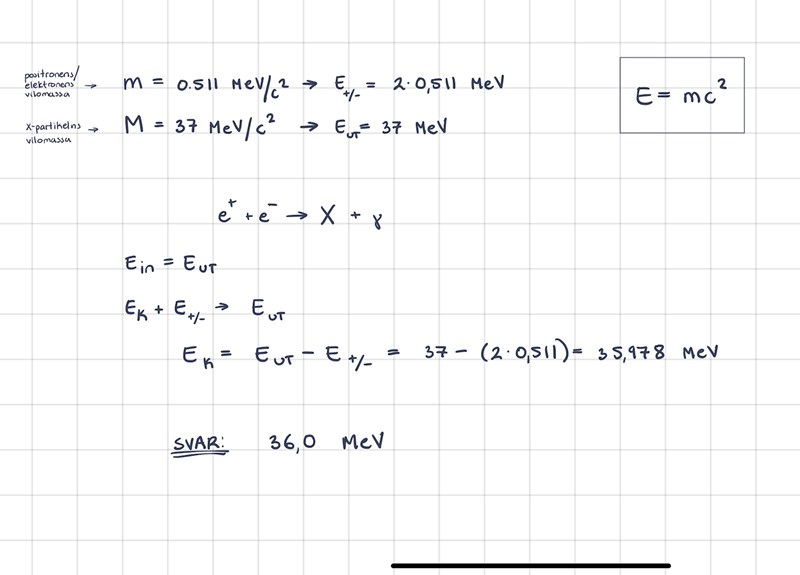
Såhär har jag tänkt;

Vad är det du har räknat ut? Är det energin för vardera partikeln?
Hej Smaragdalena!
Min avsikt är att ha räknat ut den kinetiska energin, E(k) som krävs för att accelerera positronen och elektronen så att deras kollision bildar en ny partikel X.
Du ska först och främst läsa uppgiften mer noggrant.
01nicole1 skrev:Hej Smaragdalena!
Min avsikt är att ha räknat ut den kinetiska energin, E(k) som krävs för att accelerera positronen och elektronen så att deras kollision bildar en ny partikel X.
Den kinetiska energin för vad? Elektronen? Positronen?
Hur skulle en kinetisk energi kunna accelerera positronen och/eller elektronen?