Hur stor maximal spänning behöver induceras i antennen?

Hej!
Jag fastnade på denna uppgift. Hur ska man tänka?
Hmmm...
Det där krävdes att man läste flera gånger innan jag överhuvud taget fick en lite vag ide´ om vad det handlar om.
Det man ska ta fasta på är "sedan anpassar man den elektriska kretsen", tror jag.
Man behöver ha resonans i den kompletta kretsen med L, R, Cpar och C (RIC kan vi försumma). Då får man maximal energiöverföring till kretsen. Då har vi 5Vrms på ingången till kortets krets, alltså över Cpar, C och RIC.
Induktionen beter sig som en tänkt spänningskälla i antennkretsen:

Antagligen är det denna "e" man är ute efter. Vad blir den om vi ska få våra 5Vrms?
Jag håller tummarna för att jag har rätt :-)
ThomasN skrev:Hmmm...
Det där krävdes att man läste flera gånger innan jag överhuvud taget fick en lite vag ide´ om vad det handlar om.
Det man ska ta fasta på är "sedan anpassar man den elektriska kretsen", tror jag.
Man behöver ha resonans i den kompletta kretsen med L, R, Cpar och C (RIC kan vi försumma). Då får man maximal energiöverföring till kretsen. Då har vi 5Vrms på ingången till kortets krets, alltså över Cpar, C och RIC.Induktionen beter sig som en tänkt spänningskälla i antennkretsen:
Antagligen är det denna "e" man är ute efter. Vad blir den om vi ska få våra 5Vrms?Jag håller tummarna för att jag har rätt :-)
Jag förstår det som att vi söker den inducerade spänningen i antennen som består av Cpar, L och R så att spänningen över kortets krets blir 5V. Men varför RiC ska försummas förstår jag inte. Den har de inte givit oss ett värde på. Jag trodde det där stycket "sedan anpassar man den elektriska kretsen på passerkortet så att överföringen och data blir optimal vid denna frekvens" handlade om kortets krets och inte tillsammans med antennen. Men jag antar att passerkortet i detta sammanhang utgörs av kortets krets+antennen(?) Hur kan spolen bete sig som en spänningskälla i antennkretsen?
Ric skulle kunna vara tänkt att försummas eftersom den beskrivs som "mycket stor", och en stor resistans som sitter parallellt med någonting med mycket mindre impedans kan man ofta försumma.
Jag är inne på ungefär samma resonemang som Thomas, speciellt eftersom man får ledtråden att den pyttelilla parasitiska kapacitansen spelar en stor roll i designen.
Men vad jag inte riktigt förstår är varför storleken på det andra parallellkopplade C'et inte spelar någon roll (det specas ju inte i uppgifttexten). Det känns som att det förenklade kopplingsschemat är lite _för_ förenklat.
Den här tråden är egentligen en dubblett till den här (av samma frågeställare): https://www.pluggakuten.se/trad/hur-stor-maximal-spanning-induceras-i-antennen/
Där började jag tänka lite högt, men lösningen togs aldrig i mål. Kanske kan det jag spånat om där ändå vara en ledtråd? Kanske var jag ute och cyklade?
Ja, din ingång låter rimlig. Det var just formuleringen om viktigheten i den parasitiska kapacitansen som lät lite knepig, med tanke på hur stor variation det brukar vara i parasitiska kapacitanser och hur stor variation det även är i riktiga komponentkapacitanser. Men det är nog övertänk från min sida, det brukar aldrig vara bra att läsa för mycket mellan raderna före man överhuvudtaget har känt på storlekarna.
Vi kör på din lösningsstrategi så ser vi var det landar!
@destiny99, har du någon formel för resonansfrekvensen i en LC-krets? Annars är den, som sictransit säger,
JohanF skrev:@Destiny, har du någon formel för resonansfrekvensen i en LC-krets? Annars är den, som sictransit säger,
Ja den är jag bekant med men jag fastnar på logiken på uppgiften justnu och vet inte varför Ric ska försummas som du nämnde och allmänt hur man ska angripa problemet och var man ska börja. Jag skulle vilja ha en strategi justnu
Jag förstår, jag tror att det är ganska svårt att förstå _exakt_ hur detta fungerar, utan uppgiftförfattaren vill försöka få läsaren att bara inse principerna. Det kan vara lite svårt att acceptera, om man är van att uppgifttexter ska ge exakt information. Dessutom handlar detta ganska mycket om antennteori, vilket förmodligen ligger utanför den kurs du läser. Men iallafall, som både thomas och sictransit är inne på, så fungerar antenner bäst där man får dem att resonera. _Hur_ signalen (spänningen) induceras i antennen är inte alls viktig för uppgiften, men det beror på mycket annat än just de komponenter som är ritade i figuren, men nu vill uppgiftförfattaren göra en uppgift som handlar om just resonansfenomenet.
Ric kan försummas om den är stor, och är paralellkopplad med en liten resistans (eller impedans). Som exempel, Vad blir ersättningsresistansen om du kopplar 1000Ohm med 1Ohm? Jo, den blir . Allså kan den stora resistansen lika gärna försummas, för att göra beräkningar enklare.
Hänger du med?
JohanF skrev:Jag förstår, jag tror att det är ganska svårt att förstå _exakt_ hur detta fungerar, utan uppgiftförfattaren vill försöka få läsaren att bara inse principerna. Det kan vara lite svårt att acceptera, om man är van att uppgifttexter ska ge exakt information. Dessutom handlar detta ganska mycket om antennteori, vilket förmodligen ligger utanför den kurs du läser. Men iallafall, som både thomas och sictransit är inne på, så fungerar antenner bäst där man får dem att resonera. _Hur_ signalen (spänningen) induceras i antennen är inte alls viktig för uppgiften, men det beror på mycket annat än just de komponenter som är ritade i figuren, men nu vill uppgiftförfattaren göra en uppgift som handlar om just resonansfenomenet.
Ric kan försummas om den är stor, och är paralellkopplad med en liten resistans (eller impedans). Som exempel, Vad blir ersättningsresistansen om du kopplar 1000Ohm med 1Ohm? Jo, den blir . Allså kan den stora resistansen lika gärna försummas, för att göra beräkningar enklare.
Hänger du med?
Jag hänger med. Men nu är Ric parallellkopplad med C och Cpar , är deras impendanser liten så att Ric kan försummas menar du?
Ja. Vi vet ju inte hur stor Ric är, men enligt uppgiftförfattaren är den "mycket stor". Det är ett annat sätt att säga, "den är så stor att den kan försummas i jämförelse med annan impedans i kretsen". Lite elakt, eller hur 😊?
JohanF skrev:Ja. Vi vet ju inte hur stor Ric är, men enligt uppgiftförfattaren är den "mycket stor". Det är ett annat sätt att säga, "den är så stor att den kan försummas i jämförelse med annan impedans i kretsen". Lite elakt, eller hur 😊?
Ja precis. Men uppgiften är ju för högre betyg så jag fattar varför den är så elak förmulerad. Men man lär sig ändå.
RIC är ingången till en logikkrets, kanske med resistans (impedans) i storleken MΩ eller GΩ. Min vanliga multimeter har exempelvis en inre resistans om 10 MΩ i V-läge. Mitt oscilloskop har mer än så. I uppgiften är den helt enkelt "mycket stor".
Så kvar i kretsen har vi C, Cpar, L och R. Hur går vi vidare då? Tex känner vi inte till C parallellkopplad med Ric. JohanF pratade om resonansfrekvens och jag undrar vad den har att göra med C som är okänd?
Här kan du titta och lyssna på lite bakgrund om HFRFID/NFC-tekniken. Men haka inte upp dig på saker i videon som du inte tycker stämmer riktigt med uppgiftens beskrivning (men fråga gärna). Uppgiften förenklar och renodlar för att uppgiftens svårighetsgrad och omfattning ska bli rimlig.
Så med bakgrund av Jan Ragnars uträkning att C+Cpar = 15.7pF, vad krävs för ström i antennen för att spänningen över kapacitanserna ska bli 5Vrms? Om du har lär dig -metoden på på kursen så kan du ansätta strömmen .

JohanF skrev:Så med bakgrund av Jan Ragnars uträkning att C+Cpar = 15.7pF, vad krävs för ström i antennen för att spänningen över kapacitanserna ska bli 5Vrms? Om du har lär dig -metoden på på kursen så kan du ansätta strömmen .
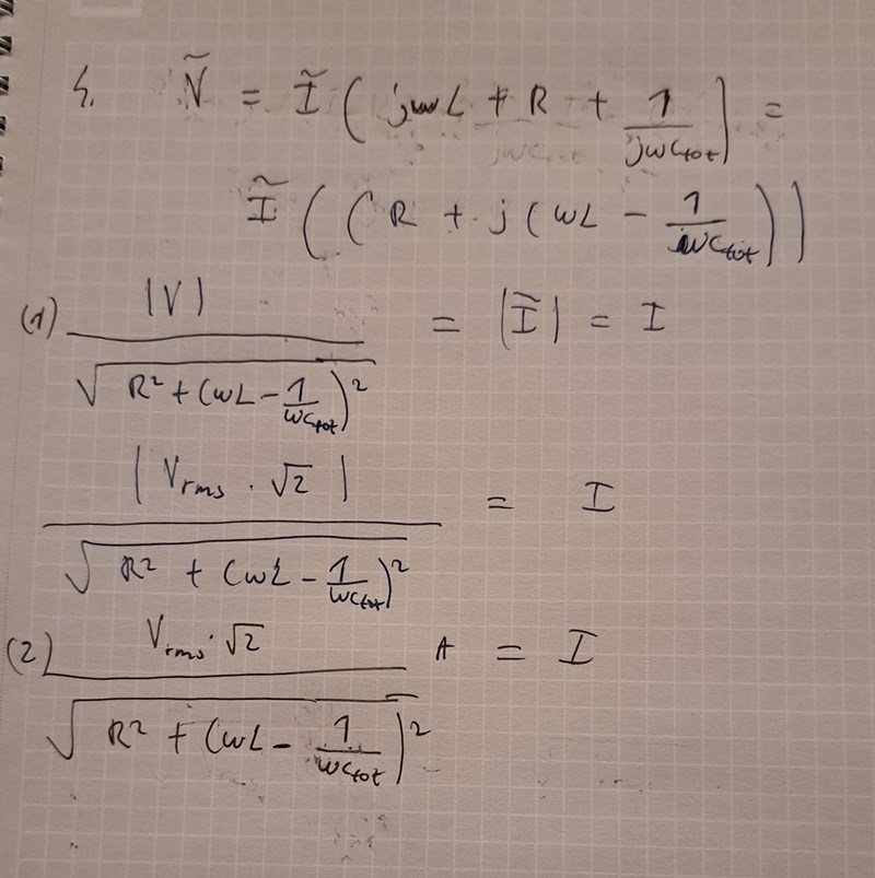
Jag har lärt mig jw metoden. Men man brukar antingen börja med kirchoffs lag eller strömlag. V-jwLI-RI-1/jwctotI=0. Men sen förkortas I bort och kvar har vi V som vi söker , men vi vet att V=sqrt(2)*Vrms så vi behöver ta abs på allt först. Men om jag får vad V blir så vet jag inte hur man ska relatera med Vrms?
Kirchoff's spänningslag kan vi vänta med tills det är dags att räkna ut den inducerade spänningen e i antennen. Just nu vet vi bara att spänningen över kapacitanserna ska vara 5Vrms (bra att du observerar skillnaden mellan rmsspänning och toppspänning)
Från sictransits lösningsförslag:

Här ser du också att han (och jag) tycker att vi ska försumma eftersom uppgiftentexten säger att det blir mycket litet i förhållande till .
Alltså, ohms lag ger där enligt uppgifttexten, enligt sictransit och enligt Jan Ragnar.
alltså,
Tillägg: 5 mar 2026 23:19
Oj, oj, oj nu skäms jag! Ekvationseditorn fick fnatt och jag fick tidsbrist, såhär går det ju inte att lämna...
Korrekt uträkning istället nedan:
Alltså , dvs strömmen genom kapacitanserna har toppvärdet 0.0094A och ligger 90 grader före spänningen över kapacitanserna.
Jan Ragnar skrev:
Så du fick fram den totala kapacitansen från resonansfrekvensformeln? Är det för att frekvensen är över hela passerkortet dvs antenn+ kortets krets ?
JohanF skrev:Kirchoff's spänningslag kan vi vänta med tills det är dags att räkna ut den inducerade spänningen e i antennen. Just nu vet vi bara att spänningen över kapacitanserna ska vara 5Vrms (bra att du observerar skillnaden mellan rmsspänning och toppspänning)
Från sictransits lösningsförslag:
Här ser du också att han (och jag) tycker att vi ska försumma eftersom uppgiftentexten säger att det blir mycket litet i förhållande till .
Alltså, ohms lag ger där enligt uppgifttexten, enligt sictransit och enligt Jan Ragnar.
Jag tror inte jag och du räknar på samma sätt här med jw metod. Jag har svårt att förstå hur du gör tyvärr. Hm okej vi vet inte den totala spänningen i uppgiften utan bara över kapacitanserna, då kanske vi kan formulera jwmetod mha den info?
OK, skriver ni bara ut fasvinkeln på strömmen (jämfört med någon referens), typ . eller vilken notation använder ni?
JohanF skrev:OK, skriver ni bara ut fasvinkeln på strömmen (jämfört med någon referens), typ . eller vilken notation använder ni?
Nej vi gör potentialvandring där ström och spänning är inkluderad som jag försökte. Vi räknar inte ut fasvinkel såvida det inte frågas efter det. Jag fick en ide om att räkna ut den totala strömmen i kretsen och sätta V som =Vrms*sqrt(2). Jag tänker mig att man kan lösa strömmen först och sen använda den tillsammans med totala impedansen i nämnaren för att hitta sökta V

Jamen då fortsätter vi göra så, men hur gör ni i räkneexempel när ni räknar ut fasvridna strömmar och spänningar?
(Vi behöver egentligen inte räkna ut några fasvridningar i uppgiften eftersom det inte efterfrågas, det brukar bara vara tryggt att låta det följa med för att konstatera att det ser rimligt ut)
Jag får dock inte samma svar som facit. Vad är felet här? Deras svar är 0.24 V

Du blandar ihop saker. Felet du gör är att du använder spänningen över kapacitansen (5Vrms) och räknar med den som om den vore den inducerade spänningen över antennen.
Jag försöker använda samma notation som du är van vid:
Strömmen som flyter genom kapacitanserna är samma ström som måste flyta genom induktansen och resistorn. Alltså måste den inducerade spänningen vara:
Hänger du med?
JohanF skrev:Du blandar ihop saker. Felet du gör är att du använder spänningen över kapacitansen (5Vrms) och räknar med den som om den vore den inducerade spänningen över antennen.
Jag försöker använda samma notation som du är van vid:
Strömmen som flyter genom kapacitanserna är samma ström som måste flyta genom induktansen och resistorn. Alltså måste den inducerade spänningen vara:
Hänger du med?
Nej jag hänger tyvärr inte med eftersom du stoppar in siffror istället för att göra potentialvandring. AI sa att termen (wL-1/jwctot)^2 blir 0 när man tar med oavrundade svaret på Ctot och då ska allt bli rätt. Tänkte testa med det. Den kan ha fel också, men tydligen sa den att min metod var rätt. Om strömmen som flyter genom kapacitanserna(Ctot) är samma som den i spole och resistorn bredvid så kan man göra som jag gjorde och hitta den strömmen och sen lösa ut för att hitta sökta spänning över antennen.
Den kan ha fel också, men tydligen sa den att min metod var rätt.
Ifall det är din AI's lösning du visar i dina beräkningar, så har AI'n fel.
Din AI har rätt i att man kan lösa uppgiften med potentialvandring, då måste man ha korrekt indata när man gör potentialvandringen, annars blir det fel ändå. Det korrekta indata är strömmen Ic genom kapacitanserna, som alltså måste räknas ut i ett tidigare steg, som din AI glömde bort att göra.
Anledningen att göra potentialvandringen är att få fram ett uttryck för Ztot. Jag redovisade uttrycket för Ztot meddetsamma (dvs gjorde potentialvandringen i huvudet). Jag visste att du skulle känna igen uttrycket för Ztot eftersom det var samma uttryck som din AI fick fram genom sin potentialvandring.
AI sa att termen (wL-1/jwctot)^2 blir 0 när man tar med oavrundade svaret på Ctot
Ja det stämmer. Det har jag också utnyttjat när jag skriver att "vid resonans tar de reaktiva impedanserna ut varandra". Men din AI's lösning blir fel även om du utnyttjar det, eftersom AI'n saknar indata på Ic som jag skrev överst i inlägget.
Förstår du nu?
JohanF skrev:Den kan ha fel också, men tydligen sa den att min metod var rätt.
Ifall det är din AI's lösning du visar i dina beräkningar, så har AI'n fel.
Din AI har rätt i att man kan lösa uppgiften med potentialvandring, då måste man ha korrekt indata när man gör potentialvandringen, annars blir det fel ändå. Det korrekta indata är strömmen Ic genom kapacitanserna, som alltså måste räknas ut i ett tidigare steg, som din AI glömde bort att göra.
Anledningen att göra potentialvandringen är att få fram ett uttryck för Ztot. Jag redovisade uttrycket för Ztot meddetsamma (dvs gjorde potentialvandringen i huvudet). Jag visste att du skulle känna igen uttrycket för Ztot eftersom det var samma uttryck som din AI fick fram genom sin potentialvandring.
AI sa att termen (wL-1/jwctot)^2 blir 0 när man tar med oavrundade svaret på Ctot
Ja det stämmer. Det har jag också utnyttjat när jag skriver att "vid resonans tar de reaktiva impedanserna ut varandra". Men din AI's lösning blir fel även om du utnyttjar det, eftersom AI'n saknar indata på Ic som jag skrev överst i inlägget.
Förstår du nu?
Ok det kanske var smartare att inse att spänningen över totala kondensatorerna är samma som de parallellkopplade pga Vrms och därifrån kunde man få ut ström som är samma för spole och resistorn när man ska använda dem i jw metoden för att hitta spänningen i antennen. Synd att det tog mig en hel dag att inse detta och inte samma dag. Mina lösningar är inte tagna ur AI utan jag hade bara diskussion med AI om varför mitt svar från min lösning stämmer inte med facits svar och den kom bara med ide om att jag borde ta med oavrundade svar på totala kapacitans osv, men den var inte till hjälp.
Synd att det tog mig en hel dag att inse detta och inte samma dag.
Du har en beundransvärd kämpaglöd! 💪


