Hur tar man reda på tiden när man endast har blivit given acceleration och hastighet?
Hej, jag har försökt med en uppgift där man ska rita upp ett s-t diagram men där man endast fått acceleration och hastighet angivit. För att göra digrammet behövs ju då både tid och sträcka hittas, och för att hitta sträckan behövs ju tiden. Därmed behöver jag hitta tiden men kan inte komma på en lösning. Har testat med formeln t = men i frågan får vi som sagt endast en hastighet och kan då inte hitta förändringen i den. Så finns det en annan formel so kan lösa ut tiden med endast given hastighet och acceleration?
Om du accelererar likformigt från stillastående så är saken enkel. Hur ser uppgiften ut?
Välkommen till Pluggakuten!
Du skriver att ni fått angivna värden på hastighet och acceleration. Men hur? I fixa värden eller i diagramform? Du får allt beskriva uppgiften i mer detalj.
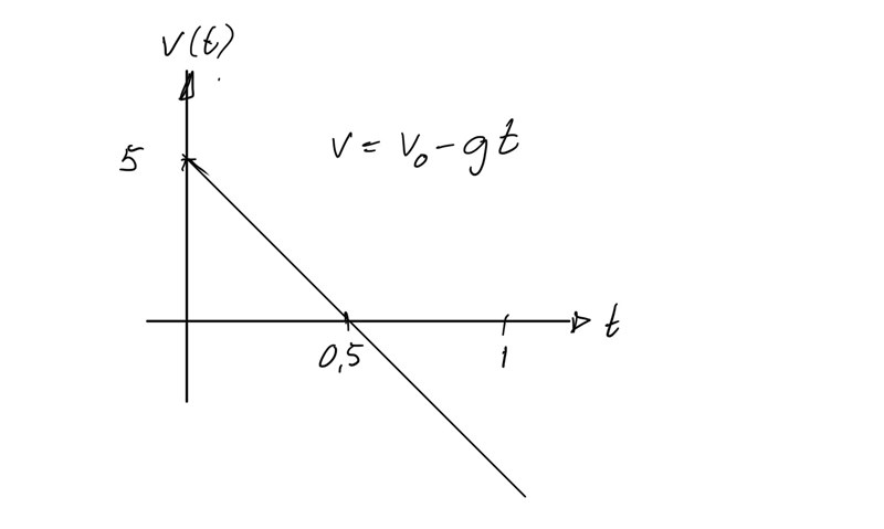
Jag skulle nog först rita ett v - t diagram. Eftersom s = int(v*dt) bör du därefter kunna skissa hur funktionen s(t) ser ut.
Tack!
Nu vet jag inte riktigt om jag tänker snett men hur kan jag göra ett vt diagram om jag nu inte har tiden?
Välj nån tillräckligt lång tid bara.
Okej, blir lite klarare men förstår fortfarande inte riktigt hur man kan uppskatta tiden, eller vart den nu kommer ifrån.
Okej, tack för hjälpen!


