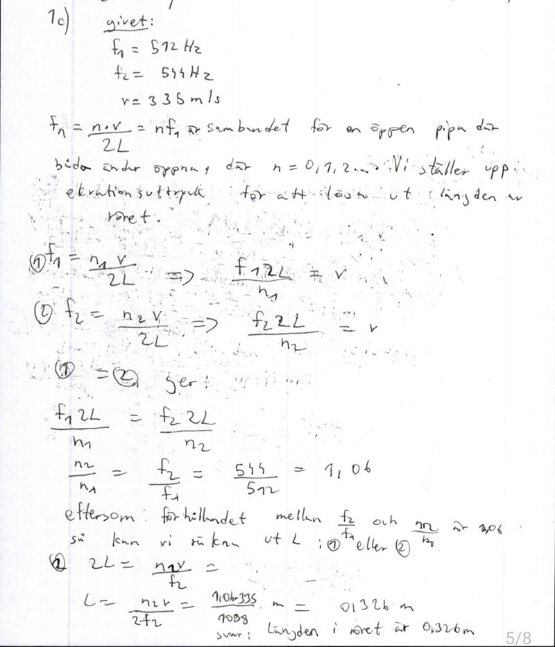
Hut lång är röret?



Hej!
I lösningsförslag ovan så tar de skillnaden mellan f2 och f1 vilket jag inte förstår varför och sedan använder de grundtonen för en öppen pipa som jag också gjort för att få ut längden. Men varför är mitt sätt felaktigt förutom felaktigt svar?
här blir det fel

Du sätter in n2 = 1,06 vilket är fel, det är bara kvoten mellan n1 och n2 som är 1,06
du kan istället beräkna n1 genom att utnyttja att det är två på varandra följande resonanser så n2 = n1 +1
Alltså
som efter förenkling ger att n1 = 16
Sen kan du utnyttja

Facit har utnyttjat att resonanserna är jämna multiplar av grundtonen
exvis är den 12e resonansen grundtonen*12 därför gäller att den 12e resonansen är den elfte resonansen + grundtonen
fn+1 = fn +f1
Så skillnaden mellan två på varandra följande resonanser är en grundton
Därför bestämmer dom grundtonen som skillnaden mellan de två givna frekvenserna.
Ture skrev:här blir det fel
Du sätter in n2 = 1,06 vilket är fel, det är bara kvoten mellan n1 och n2 som är 1,06
du kan istället beräkna n1 genom att utnyttja att det är två på varandra följande resonanser så n2 = n1 +1
Alltså
som efter förenkling ger att n1 = 16
Sen kan du utnyttja
Facit har utnyttjat att resonanserna är jämna multiplar av grundtonen
exvis är den 12e resonansen grundtonen*12 därför gäller att den 12e resonansen är den elfte resonansen + grundtonen
fn+1 = fn +f1
Så skillnaden mellan två på varandra följande resonanser är en grundton
Därför bestämmer dom grundtonen som skillnaden mellan de två givna frekvenserna.
Ok så det var bättre att egentligen lösa på detta sätt som jag försökte göra med förhållande om man insåg att det är två på varandra följande frekvenser för att hitta n1 eller n2 och lösa ut för L. Båda tonerna har ju samma längd. Dock förstår jag inte varför facit avrundar till 2 gällande siffror när andra siffror är 3 gällande siffror.
Det där med gällande siffror är inte en universell lag så som gymnasiefysik ofta försöker göra gällande. Det kan skilja sig oerhört. I detta fall tycker personen kanske att en decimal eller två gällande siffror räcker. Detta har jag sett i två olika mekanikböcker där de skrev vad som förväntades i början av böckerna.
Men bäst är att fråga personen som gjorde lösningen, så klart.
SaintVenant skrev:Det där med gällande siffror är inte en universell lag så som gymnasiefysik ofta försöker göra gällande. Det kan skilja sig oerhört. I detta fall tycker personen kanske att en decimal eller två gällande siffror räcker. Detta har jag sett i två olika mekanikböcker där de skrev vad som förväntades i början av böckerna.
Men bäst är att fråga personen som gjorde lösningen, så klart.
Aa ok jag förstår. Ja jag mejlade examinatorn om detta. Men jag misstänker avrundningen skedde pga man fick fram 32 som är 2 gällande siffror och sen använt den i sina beräkningar.
Nja, enligt gymnasiefysik ska det talet ha noggrannheten 32±1.
Sedan får du:
Således har du för två gällande att:
SaintVenant skrev:Nja, enligt gymnasiefysik ska det talet ha noggrannheten 32±1.
Sedan får du:
Således har du för två gällande att:
Okej jag brukar absolut inte räkna på det sättet eller ha med detta i beräkningarna. Jag hade nog avrundat L till 5.24 om jag hade gjort rätt hela vägen från början pga de givna data från uppgiften. Sen om examinatorn hade gett poäng för det eller inte får jag kolla med honom igen.
Tänk på att om du vill göra en flöjt, på riktigt, så kan felmarginaler på +20 cm och -10 cm göra stor skillnad.
Detta är bara en övning i att förstå vilken effekt noggrannheten har rent matematiskt. Samt hur begränsade vi blir så snart vi manipulerar tal med stora felmarginaler. Dessa kan nämligen växa oerhört.
Men detta är en hel vetenskap, inget du behöver tänka på i dina studier om det inte specifikt efterfrågas. Det finns viktigare saker att tänka på.
SaintVenant skrev:Tänk på att om du vill göra en flöjt, på riktigt, så kan felmarginaler på +20 cm och -10 cm göra stor skillnad.
Jo det är jag med på. Men det framgår inte i uppgiften och liksom hur ska man komma på detta alltid såvida det inte står i uppgiften.
destiny99 skrev:Jo det är jag med på. Men det framgår inte i uppgiften och liksom hur ska man komma på detta alltid såvida det inte står i uppgiften.
Helt rätt. Man ska inte komma på det. Det vanligaste är att man inte ska skriva ut orimligt få, eller orimligt många värdesiffror.
SaintVenant skrev:destiny99 skrev:Jo det är jag med på. Men det framgår inte i uppgiften och liksom hur ska man komma på detta alltid såvida det inte står i uppgiften.
Helt rätt. Man ska inte komma på det. Det vanligaste är att man inte ska skriva ut orimligt få, eller orimligt många värdesiffror.
Jaha okej. Ja det är klurigt tycker jag vad som är orimligt få eller många värdesiffror här 😅
Orimligt många:
5.24217381...
Orimligt få:
5
Man får ha en liten känsla för det. Är man osäker, får man fråga, tänker jag.
SaintVenant skrev:Orimligt många:
5.24217381...
Orimligt få:
5
Man får ha en liten känsla för det. Är man osäker, får man fråga, tänker jag.
Detta är vad jag fick för svar av examinator. Så om jag förstår honom rätt så ska man alltid räkna osäkerheten och se till att den är samma tex när man får ut f=32 eller n=16? Vad menar han med att osäkerheten i skillnaden av talen inte kan bli mindre än osäkerheten i vardera tal?
Jag tycker det är svårt under ens beräkningar vad man ska ha för känsla för att avrunda. Jag hade som sagt avrundat till 3 gällande siffror men det hade gått emot både facits svar och det han säger nedan.

Ja, det är väl en tumregel han hänvisar till för att hjälpa dig. Man brukar säga:
Felet kan aldrig bli mindre
Det helt korrekta är vad jag gjort vilket visar att felintervallets bredd rent numeriskt minskar i storlek (från 1 till 0.3). Om man svarar 5.2 utan felintervall (vilket implicerar ±0.05) påstår man att det numeriska felet nu har bredden 0.1. Alltså att det minskat med en faktor 10!
Aj aj aj, inte bra.
Din utgångspunkt var att låta antal givna värdesiffror i frågan styra svaret. Detta skulle ge 5.23±0.005 vilket är en bredd på 0.01. Då har felet minskat med en faktor 100!
Oj oj oj, nu är vi illa ute.
Det är alltså svårt att göra rätt. Ett annat sätt att se på saken är att skriva vetenskapligt, med tiopotenser. Då förstår man sammanhanget bättre:
Indata
Frekvensen på 544 Hz:
Differensen på 32 Hz:
Utdata
Det korrekta svaret m:
Föreläsarens svar 5.2 m:
Ditt svar 5.23 m:
Sammanfattning
- Här ser du att i det korrekta svaret har felet växt till 30
- För lärarens svar har felet växt till 10
- För ditt svar är felet lika stort som indata (1)
En bra tumregel är således att felet alltid ska bli större i relativa mått.

