2
svar
51
visningar
maratikmatorkin behöver inte mer hjälp
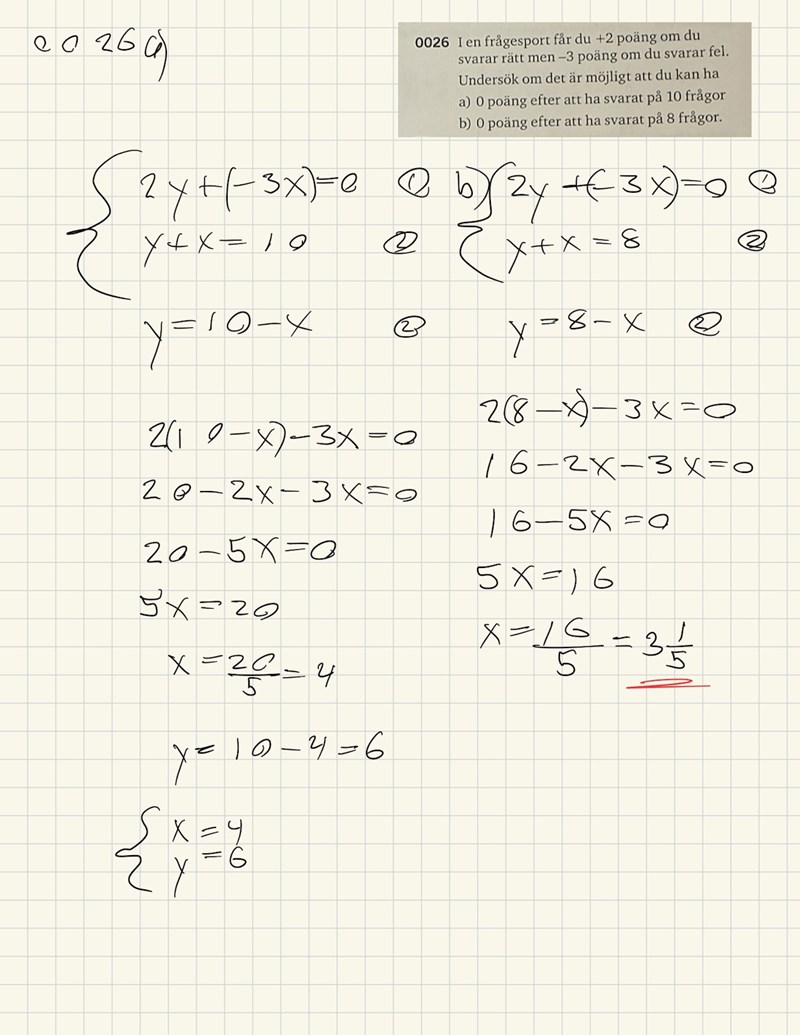
I en frågesport får du +2 poäng om du svarar rätt men -3 poäng om du svarar fel…
Hej.
jag funderar på ett systematiskt sätt att lösa uppgiften då jag inte hittar något intuitivt och tycket att det borde finnas ett bättre sätt än att chansa i huvudet och se om det stämmer.
Jag tänker som följande. Men lösningen till ekvationsystemet är orimligt eller snarare rentav felaktigt.
Mvh
LuMa07 skrev:
Ni är mina ögon! Och där fick jag också svar på hur det yttrar sig om det inte är möjligt.
tack!


