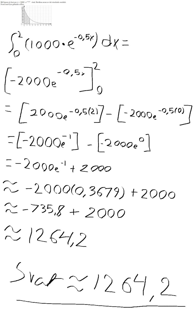
I figuren är kurvan 𝑦 = 1000 ∙ 𝑒^−0,5𝑥. Beräkna arean av det streckade området.

Har jag gjort rätt?
ja men du har svarat med 5 siffror, istället för med 4!
Ture skrev:ja men du har svarat med 5 siffror, istället för med 4!
okej tack! såg det nu när du sa det, ska svara med 4 siffror. 🙏
Varför ska det inte vara ett minus täcken där?
Det ska vara ett där, troligen bara bortglömt, på nästa rad dyker det upp igen.
jag fattar inte hur vi får fram -2000, kan någon förklara? vart kommer det ifrån?
Om du menar - tecknet i den primitiva funktionen så behövs det eftersom derivatan av
-2000*e-0,5x är (-2000)*e-0,5x*(-0,5) = 1000e-0,5x
Det fetstilta inom parentes är derivatan av exponenten (se avsnittet: derivata av sammansatt funktion)
Förstår inte riktigt hur man får fram -2000, kan någon vara snäll att förklara det
såg svaret på det nu