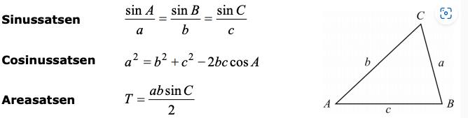
I figuren visas triangeln ABC.
Hejsan! Jag har fastnat på uppgift 4) som lyder:
Vilken av satserna är lämpligt att använda här?

Har du testat använda någon? Vad händer då?
De tre satserna finns bra beskrivna här: https://www.matteboken.se/lektioner/matte-3/trigonometri
Alltså jag har testat alla tre men jag har svårt att identifiera och sätta in så att det blir rätt
Abulfazl skrev:Alltså jag har testat alla tre men jag har svårt att identifiera och sätta in så att det blir rätt
Prova med sinussatsen på uppgift (a) för att bestämma AB. Rita och visa här, så hjälper vi till om det strular.
Jag har tagit reda på vinkeln = 56o
Ställt upp det såhär:
Vad gör jag för fel?
Sinussatsen säger att:
Förhållandet mellan en vinkel och motstående sida är konstant. (Jag har ritat gröna streck för att vara tydlig med var "motstående betyder".)

I vårt fall vet vi vinkeln A och sidan a. Vi vet också vinkeln C, men inte sidan c ("AB"):
Kan du lösa för c, alltså AB?
Blir det 14.22 cm?
Abulfazl skrev:Blir det 14.22 cm?
Nej, AB kan inte vara 14,22. Man ser ju i figuren att den är mer än dubbelt så lång som den som är 19,1.
Jag vet inte :(
Den här hade vi från tidigare:
Vi behöver få ut c=någonting:
Hänger du med på hur jag fick över c till att stå ensamt i VL?
Jaha nu hänger jag med du korsmulitplicerade och sedan dividerade med sin(21o)
Abulfazl skrev:Jaha nu hänger jag med du korsmulitplicerade och sedan dividerade med sin(21o)
Precis så!
Ett tips, om du har precis börjat med att räkna på med trigometri: ha gärna formler i närheten av dig när du räknar så att du blir bekväm med de 

Ok tack för tipset
Förresten på b) man ska väl använda sig av areasatsen nu?
Jag räknade och fick fram det till 411,7 cm2 stämmer det?
Får ca 411,2 men kan ha räknat fel. Det är sent.
sictransit skrev:Får ca 411,2 men kan ha räknat fel. Det är sent.
Nu ör det tidigt och det stämmer fortfarande 😀
Avrundas lämpligen till 411 cm2.