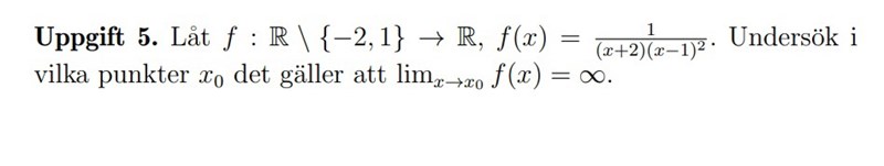
I vilka punkter gäller att gränsvärdet går mot oändligt


Hej, jag undrar med uppgiften ovan. Intuitivt började jag med att checka intervallets tal i funktionen och kom fram till att det verkar som att funktionens gränsvärde är oändligt vid -2 och 1. Men hur ska man egentligen komma fram till det?
När nämnaren går mot noll så går bråkets vörde mot oändligheten.
Definitionen är väl något i stil med att om för varje b > 0 det går att finna ett sådant att för alla x i Df det gäller att om 0 < |x-a| < så medför det att f(x) > b.
Dvs mer formellt:
.
Ett exempel.
.
”Bevis”:
Vad skall gälla för att 1/x2 > b?
Dra roten ur på båda sidor.
1/|x| > sqrt(b) vilket är ekvivalent med |x| < 1/sqrt(b).
Således om 0 < |x-0| < 1/sqrt(b) så gäller det att 1/x2 > b.
Tillägg: 6 okt 2024 00:26
Övning.
Gäller det att ?
Yngve skrev:När nämnaren går mot noll så går bråkets vörde mot oändligheten.
Det är nog +oändl som avses med frågan. Nämnarens nollställen är -2 och 1 (dubbelt). f är negativ för x<-2 och går därför mot - oändl fr vänster. Från höger går den mot + oändl. Eftersom vänster- och högergränsvärdena är olika har f INGET gränsvärde för x—>-2. För x—>1 är det inget problem; f(x)—> +oändl.
På vilken nivå vill filippahog ha svar här. Är detta en mer informell kurs, tex programmering eller gymnasierepition, eller en mer formell kurs, tex envariabel eller analys?
PATENTERAMERA skrev:På vilken nivå vill filippahog ha svar här. Är detta en mer informell kurs, tex programmering eller gymnasierepition, eller en mer formell kurs, tex envariabel eller analys?
Tack för alla svar redan. Definitivt en formell kurs, grundkurs i gränsvärden vid universitetet
PATENTERAMERA skrev:Definitionen är väl något i stil med att om för varje b > 0 det går att finna ett sådant att för alla x i Df det gäller att om 0 < |x-a| < så medför det att f(x) > b.
Dvs mer formellt:
.
Ett exempel.
.
”Bevis”:
Vad skall gälla för att 1/x2 > b?
Dra roten ur på båda sidor.
1/|x| > sqrt(b) vilket är ekvivalent med |x| < 1/sqrt(b).
Således om 0 < |x-0| < 1/sqrt(b) så gäller det att 1/x2 > b.
Tillägg: 6 okt 2024 00:26
Övning.
Gäller det att ?
Ska vi alltså undersöka vad som ska gälla för att
Jag förstod exemplet när du drog ut roten på båda sidorna, men hur kommer (x+2) se ut om man gör det?
?