6 svar
86 visningar
Katarina149 7151
Postad: 11 apr 2022 15:16 Redigerad: 11 apr 2022 15:16

i en behållare med konstant volym

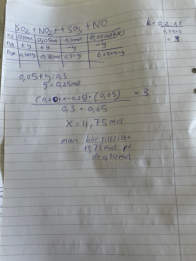
I en behållare med konstant volym så inställer sig en jämvikt:

 

SO2(g) + NO2(g)  < = > SO3(g) + NO(g)

 

Det fanns 0,30 mol SO3,   0,20 mol NO,  0,050 mol NO2, och 0,40 mol SO2 i behållaren när jämvikten ställt in sig.

Vilken mängd (hur många mol) NO måste tillföras jämviktsblandningen för att substansmängden  NO2 ska öka till 0,30 mol?

hej! Har jag räknat rätt?

Smaragdalena 78892 – Avstängd
Postad: 11 apr 2022 17:04

Skriv en tydligare rad med substansmängderna vid jämvikt. Jag tror att ena faktorn i nämnaren är fel men det är så otydligt förklarat vad du gör att jag inte är  säker.

När jag lägger ner ganska mycket extra möda på att förstå vad du har gjort tror jag att du har räknat rätt - men man skall kunna förstå din redogörelse direkt, utan att behöva klura i flera minuter på vad det är du menar.

Katarina149 7151
Postad: 11 apr 2022 17:12

Vad är det du tycker är otydligt i min uträkning? Vad ska jag förtydliga i uträkningen så att det blir lättare att förstå?

Smaragdalena 78892 – Avstängd
Postad: 11 apr 2022 17:36

Det är variabeln y som gör din redogörelse  svårbegriplig.  Varför har du inte skrivit att ändringen är 0,25 mol?

Katarina149 7151
Postad: 11 apr 2022 17:56

jag valde y eftersom x stod för mängden NO som skulle tillföras så jag använde bara en annan variabel 

Smaragdalena 78892 – Avstängd
Postad: 11 apr 2022 18:20

Varför införde du en variabel alls, när det inte behövdes? Det förvirrade i alla fall mig rejält.

Katarina149 7151
Postad: 11 apr 2022 18:28

Hur skulle jag istället kunnat göra/skriva?

Svara
Close