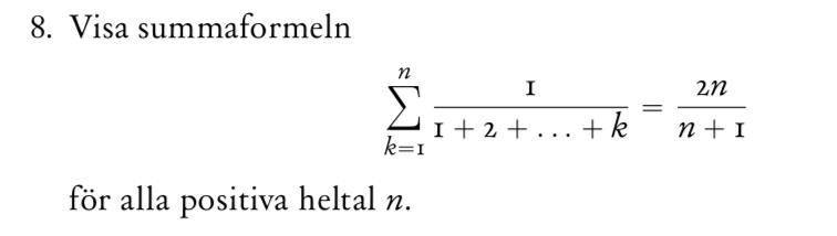
Ickebevisat basfall

Mittskamfull försök:

Det är summan av uttrycket i VL, då k = 1 plus då k = 2 plus då k = 3.
Jag önskar verkligen att jag skulle kunna säga att det var en test för att verifiera hur vaken du var idag, och inte min värsta slarv i historien... idag. Med det vore en mycket mycket tjock lögn.
Men ok då:
Det funkar. UgglVader kan gå och lägga sig en stund nu.
Vi säger att det fungerar för , och nu visar vi med brio att det fungerar för .
Skammen över min sista spektakulär slarv ser att jag ser att det finns en summa formeln här:
DET STÄMMER WHAT JUST HAPPENED???
Det ser ut som att du just gjorde ett induktionsbevis.
En av 14! Youhou!
dajamanté skrev :En av 14! Youhou!
Den första är alltid svårast. Induktionsbevis följer formeln , där f(x) är svårighetsgraden och x är antalet genomförda uppgifter. C är en svårighetskonstant som varierar enligt formeln . Alla har olika c:n, som ofta även varierar baserat på förkunskaper, teoretisk förståelse, sömn, matintag, tid på dygnet, omgivning, samt beroende på moment. Viktigt är dock att notera att oavsett hur stort c än må kännas är konstanten alltid mindre än ett, och en gör således framsteg för varje uppgift.
