2
svar
183
visningar
Etthejfrånpolhem behöver inte mer hjälp
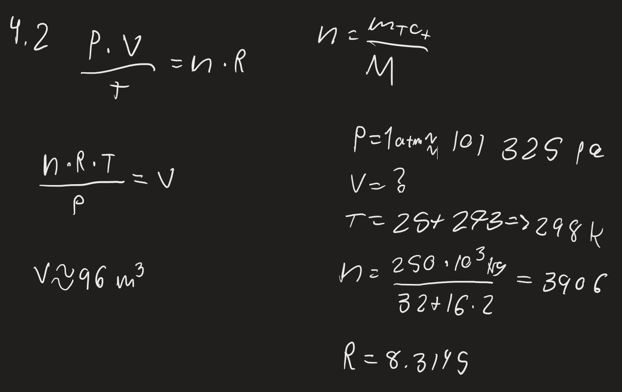
Ideala gaslagen Uppgift 4.2 fysik i vätskor och gaser
Ca 250 ton svaveldioxid (SO_2) kommer ut i atmosfären per dygn. Vilken volym ger svaveldioxiden upphov till när gasen fått temperaturen 25 C och trycket 1,00 atm. 
Svaret ska bli 96 tusen kubikmeter. Någon som kan se vad som gått snätt?
Det har (naturligtvis) gått snett på ett ställe där du har struntat i enheter, och råkat blanda ihop olika enheter.
Etthejfrånpolhem skrev:Någon som kan se vad som gått snett?
En mol SO2 väger 32+2*16 gram (och inte kg).