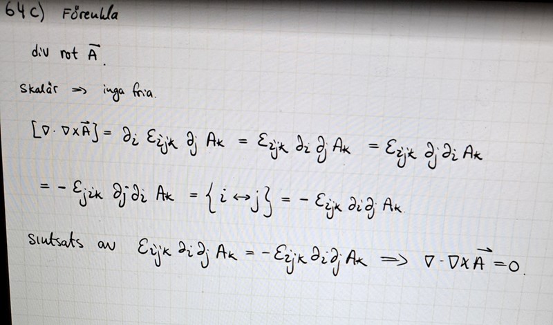
Identitet för Levita symbolen

Jag är med på att eijk=-ejik men varför byter man plats på dj och di ? Och i nästa rad så är det dummy index mellan i och j. Där förstår jag inte riktigt varför dj och di byter plats och om dummy index gäller bara i epsilonindex? Borde det inte vara -(-eijk) i andra raden ?
Man kan byta till eftersom partialderivator (vanligen) kommuterar. Tänk tex på .
Sedan tror jag man skall se det som i - j betyder att man byter namn på i och j. Man kallar i för j och j för i, vilket är möjligt eftersom båda är dummyindex.
PATENTERAMERA skrev:Man kan byta till eftersom partialderivator (vanligen) kommuterar. Tänk tex på .
Sedan tror jag man skall se det som i - j betyder att man byter namn på i och j. Man kallar i för j och j för i, vilket är möjligt eftersom båda är dummyindex.
Okej jag förstår. Så dummy index är alltså att man kan byta namn på i och j? En annan sak jag undrar över är om man får byta namn på i och j i det här fallet? jag vet ju inte om rj och di kommuterar.

Ja, du kan alltid byta namn på ett dummyindex. Men om du väljer att byta namn på i till j så måste du byta namn på j till något annat (tex i) annars får du för många j i ditt uttryck.
”Vanligen kommuterar” blev viktigt där. Annars kommer naytte och hugger!🤣
PATENTERAMERA skrev:Ja, du kan alltid byta namn på ett dummyindex. Men om du väljer att byta namn på i till j så måste du byta namn på j till något annat (tex i) annars får du för många j i ditt uttryck.
Ja jag förstår. Så jag får alltså skriva -ri ejikdjuk
högerledet istället för -rjeijkdiuk i #3?
PATENTERAMERA skrev:Ja.
Apropå det här med att partiella derivator kommuterar så gäller det väl inte alltid? Jag provade att ställa frågan till AI och det gav mig ett exempel på när det faktiskt inte gäller (kanske finns det fler ingen aning). Men detta verkar gälla i vissa situationer och inte alltid.
Det finns en sats som säger när det gäller (se flervariabel), men det verkar som man bara oroar sig för detta på mattekurser. I mer tillämpade kurser verkar man alltid utgå från att de kommuterar.
PATENTERAMERA skrev:Det finns en sats som säger när det gäller (se flervariabel), men det verkar som man bara oroar sig för detta på mattekurser. I mer tillämpade kurser verkar man alltid utgå från att de kommuterar.
Hm kan det vara detta sats 9 nedan? Är vektoranalys kursen som läses i CTFYS en tillämpad kurs ? 

Det är väl en mattekurs i någon mening, även om materialet är essentiellt för alla tillämpade kurser, såsom ellära, mekanik, hållf, kontinuumfysik, relativitetsteori, kvantmekanik osv.
När jag läste kusen så gavs den av fysikinstitutionen, så det var lite mindre fokus på bevis och mer fokus på tillämpning och praktisk användning.
Hursomhelst så är det en välkänd sats att divergensen av en rotation är noll. Alla bevis för detta som jag sett utnyttjar att derivatorna kommuterar.