2
svar
163
visningar
Volens28 behöver inte mer hjälp
Implicit derivering
Skall derivera följande funktion implicit.
De två första termerna fixade jag.
Har jag tänkt rätt att man skulle kunna köra produktregeln på nästkommande term, vilka faktorer skall jag använda då?
Jag får inte riktigt till det, skulle även behöva hjälp med den sista termen.

Sätt och tillämpa produktregeln på:
.
tomast80 skrev:Sätt och tillämpa produktregeln på:
.
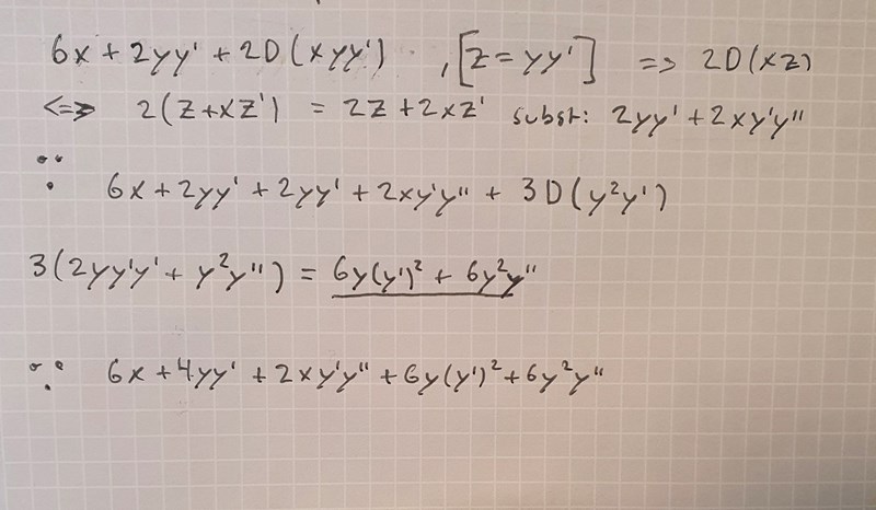
Ok , då får jag efter att substituerat tillbaka z ,
Rätt så här långt ?
Vill jag göra variabelbyte på den sista termen också?
Jag testade utan variabelbyte och fick följande,
jag missar fortfarande något..
